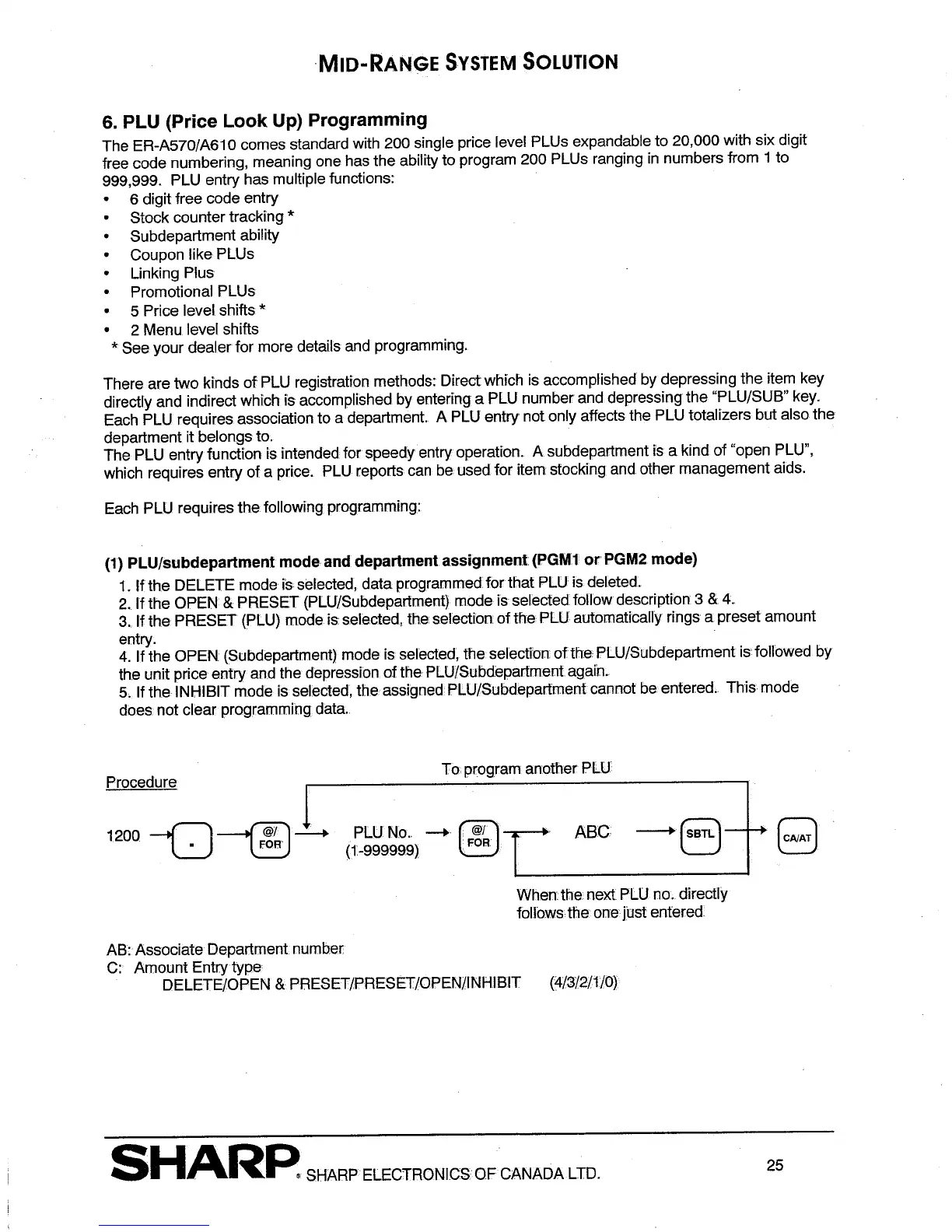
EasyManua.ls Logo

Sharp ER-A610 - Page 26

Sharp ER-A610
126 pages
Print Icon
To Next Page IconTo Next Page
To Next Page IconTo Next Page
To Previous Page IconTo Previous Page
To Previous Page IconTo Previous Page
Loading...

Other manuals for Sharp ER-A610

Related product manuals