EasyManua.ls Logo

SICK DL35 - Repeatability Diagrams (DL35;DR35)

SICK DL35
68 pages
Print Icon
To Next Page IconTo Next Page
To Next Page IconTo Next Page
To Previous Page IconTo Previous Page
To Previous Page IconTo Previous Page
Loading...
8014868/YIF1/2020-10-19 • © SICK AG • Subject to change without notice 63
Technical data
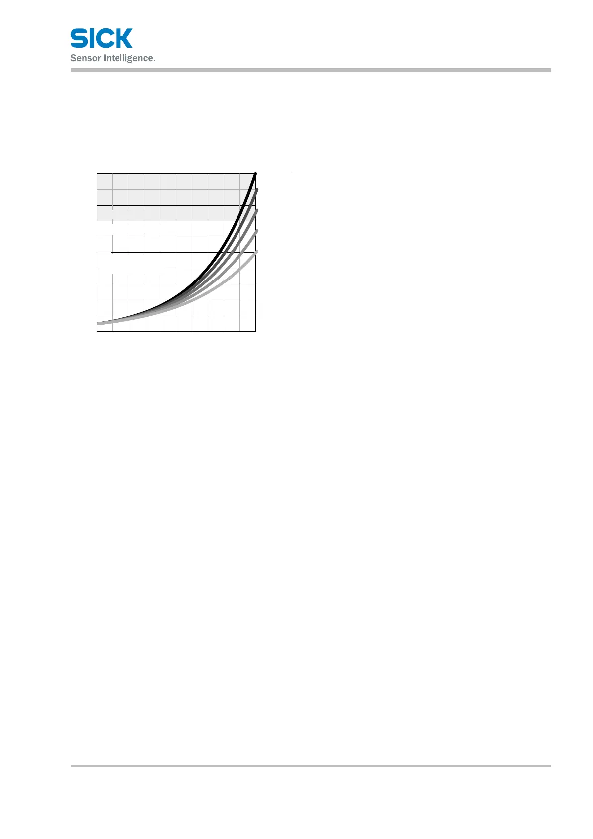
13.10.2 DL35 and DR35 models
Characteristiccurvefor
"super-slow"…"super-fast"speeds
Distance in m (feet)
(32.8)
(0.08)
(0.16)
(0.24)
(0.31)
(0.39)
(65.6) (98.4) (131.2) (164.1)
0
50
Repeatability in mm (inch
)
0
2
4
6
8
10
10 20 30 40
Fast
Medium
Slow
Super Slow
Super Fast
Functional reserve
Specification basis
technical data
Secured performance
Super Slow ... Super Fast
Fig. 25: Characteristic curve for
"super-slow" … "super-fast" speeds

Table of Contents

Related product manuals