EasyManua.ls Logo

Sime Format 25/60 - Page 41

Sime Format 25/60
Print Icon
To Next Page IconTo Next Page
To Next Page IconTo Next Page
To Previous Page IconTo Previous Page
To Previous Page IconTo Previous Page
Loading...
39
fase calefacción con una detención técni-
ca del quemador de 90 segundos, que
se verifica tanto en el encendido en frío
de la instalación como en los sucesivos
encendidos. O sea para obviar los encen-
didos y apagados con intervalos muy cer-
canos que, en particular, se podrían veri-
ficar en instalaciones con elevadas pérdi-
das de carga. Con cada nuevo encendi-
do, luego del periodo de arranque lento,
la caldera se ubicará por aproximada-
mente 1 minuto, en la presión mínima de
modulaciones para luego llegar al valor
de presión de calefacción configurado.
Con la introducción del puente se anu-
lará tanto la detención técnica progra-
mada como el periodo de funcionamien-
to a la presión mínima en la fase de
encendido. En tal caso, los tiempos que
se necesitan entre el apagado y los
encendidos sucesivos estarán en función
de un diferencial de C relevado de la
sonda de calefacción (SM).
ATENCION: Todas las operaciones anterior-
mente descriptas deberán ser necesaria-
mente realizadas por personal autorizado.
3.2 SONDAS DE DETECCION
DE TEMPERATURA
En la Tabla 3 se indican los valores de resi-
stencia () que se obtiene en las sondas al
variar la temperatura.
Con sonda calefacción (SM) interrumpida,
la caldera no funciona en ambos servicios.
Con sonda sanitario (SB) interrumpida, la
caldera funciona sólo en calefacción.
3.3 ENCENDIDO ELECTRONICO
El encendido y la detección de la llama están
controlados por dos electrodos que garan-
tizan la máxima seguridad con tiempos de
intervención, por apagado accidental o falta
de gas, dentro de 1 segundo.
3.3.1 Ciclo de funcionamiento
Gire el pomo del selector en verano o en
invierno, detectando relevando la presencia
de tensión por el encendido del LED.
El encendido del quemador deberá produ-
cirse dentro de los 10 segundos como máxi-
mo. Se podrán manifestar falta de encendi-
dos con la consiguiente activación de la
señal de bloqueo del aparato que podemos
resumir de la siguiente manera:
Falta de gas
El electrodo de encendido persiste en la
descarga por 10 segundos máximo, sin
verificarse el encendido del quemador pilo-
to se enciende la luz indicadora de bloqueo.
Se puede manifestar en el primer encen-
dido o luego de largos períodos de inacti-
vidad o en presencia de aire en las
tuberías. Puede ser causado por el grifo
del gas cerrado o por una de las bobinas
de la válvula que presenta el enrollado
interrumpido, impidiendo su abertura.
El electrodo de encendido no emite la
descarga.
En la caldera se nota la abertura del gas
al quemador, luego de 10 segundos se
enciende la luz indicadora de bloqueo.
Puede ser causado por el hecho que el
cable del electrodo es interrumpido o
no esbien fijado al borne del transfor-
mador de encendido. El electrodo esa
masa o está fuertemente desgastado se
necesita sustituirlo. La ficha electrónica
es defetuosa
Por falta improvista de tensión se obtiene la
detención inmediata del quemador, con el
restablecimiento de la tensión, la caldera se
pondrá automáticamente en funcionamiento.
3.4
DISPOSITIVO HUMOS “25/60 OF”
Es una seguridad contra el reflujo de los
humos hacia el ambiente, debido a la inefi-
cacia u obturación parcial del conducto de
humo (9 fig. 3). Interviene bloqueando el fun-
cionamiento de la válvula de gas cuando la
entrada de humo en el ambiente es conti-
nua, y en cantidad tal de volverlo peligroso.
Para restablecer el funcionamiento de la cal-
dera rearme el pulsador del termóstato.
Si se repitiera en modo continuativo el blo-
queo de la caldera será necesario efectuar un
atento control del canal de humo, aportando
todas las modificaciones necesarias para que
pueda resultar eficiente.
NOTA: Esprohibido poner fuera de ser-
vicio el dispositivo.
3.5 PRESOSTATO HUMOS
“25/60 BF - 30/60 BF”
El presóstato, con calibración fija 4,5-6 mm
H2O (vers. “25/60”) y 10-13 mm H
2O
(vers. “30/60”), es capas de garantizar la
funcionalidad de la caldera también con
tuberías de aspiración y de descarga al lími-
te máximo de la longitud consentida (10 fig.
3). Impurezas y posibles formaciones de
condensación, probables en los períodos
más fríos de la estación, podrían causar fal-
sos encendidos de la caldera.
3.6 SEGURIDAD POR FALTA DE AGUA
Un presóstato de agua interviene, bloquean-
do el funcionamiento del quemador, siempre
que la presión de la caldera sea inferior al
valor de 0,5 bar (6 fig. 3). Para restablecer
el funcionamiento del quemador accione
sobre la carga (fig. 7) y lleve la presión a los
valores comprendidos entre 1-1,2 bar.
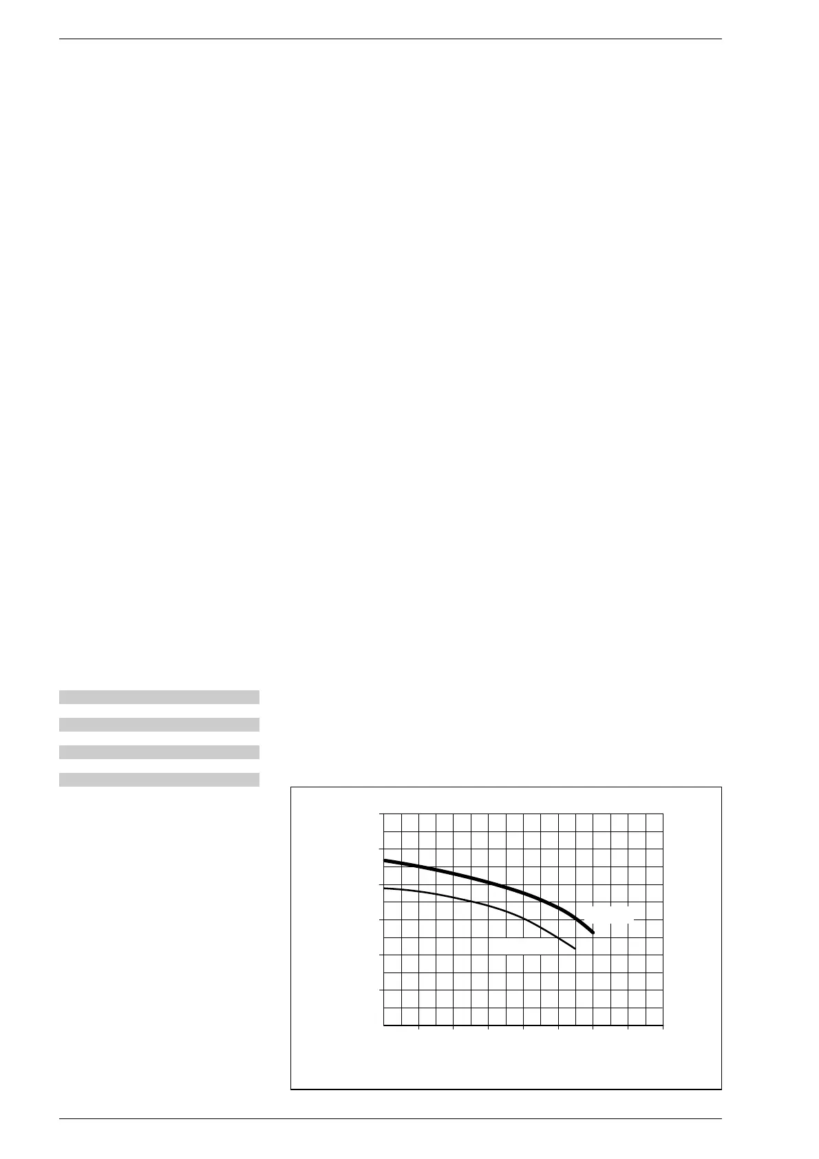
3.7 ALTURA DE ELEVACION
DISPONIBLE EN LA INSTALACION
La altura de elevación disponible en la
instalación de calefacción está represen-
tada, en función de la capacidad, del grá-
fico de la
fig. 23.
3.8 RELOJ PROGRAMADOR
OPCIONAL (fig. 24)
El panel de comando permite la utilización de
un reloj programador para la gestión de la
calefacción, suministrado a pedido con el kit
TABLA 3
Temperatura (°C) Resistencia ()
20 12.090
30 8.313
40 5.828
50 4.161
60 3.021
70 2.229
80 1.669
0
600
200
1600
140012001000800600400
PORTATA (l/h)
PREVALENZA RESIDUA (mbar)
500
400
100
200
300
25/60
30/60
Format e Planet 25 - 30/60
Fig. 23
CAUDAL (l/h)
ALTURA DE ELEVACION RESIDUA (mbar)

Related product manuals