EasyManua.ls Logo

Sime Format 25/60 - Page 64

Sime Format 25/60
Print Icon
To Next Page IconTo Next Page
To Next Page IconTo Next Page
To Previous Page IconTo Previous Page
To Previous Page IconTo Previous Page
Loading...
62
técnica do queimador de cerca de 90
segundos que se executa tanto no acen-
dimento a frio da instalação, como nos
seguintes acendimentos.
Esta serve para evitar acendimentos e
apagamentos com intervalos muito
reduzidos que, em especial, se poderiam
verificar em instalações com elevadas
perdas de carga. Em cada acendimento,
após o período de acendimento lento, o
aparelho ficará durante cerca de 1
minuto na pressão mínima de modu-
lação para depois passar ao valor de
pressão de aquecimento programada.
Com a introdução da ponte anulam-se a
pausa técnica programada e o período
de funcionamento à pressão mínima na
fase de acendimento.
Nesse caso, os tempos que decorrem
entre o apagamento e os seguintes
acendimentos, serão em função de um
diferencial de C detectado pela sonda
de aquecimento (SM).
ATENÇÃO: Todas as operações acima
descritas deverão necessariamente ser
executadas por pessoal autorizado.
3.2 SONDAS DE DETECÇÃO
DA TEMPERATURA
Na Tabela 3 estão indicados os valores da
resistência () que se obtêm nas sondas ao
alterar a temperatura. Com a sonda aque-
cimento (SM) interrompida, a caldeira não
funciona em ambos os serviços. Com a
sonda sanitário (SB) interrompida, a cal-
deira funciona só em aquecimento.
3.3 ACENDIMENTO ELECTRÓNICO
O acendimento e detecção da chama é con-
trolada por um único eléctrodo situado no
queimador que garante a máxima segu-
rança com tempo de intervenção, para apa-
gamentos acidentais ou falta de gás, dentro
de um segundo.
3.3.1 Ciclo de funcionamento
Rodar o manípulo do selector para Verão ou
Inverno verificando no acendimento do led
verde a presença de tensão.
O acendimento do queimador piloto deverá
dar-se dentro de 10 segundos. Podem
manifestar-se acendimentos falhados com
a consequente activação do sinal de blo-
queio que podemos resumir assim:
Falta de gás
O eléctrodo de acendimento persiste na
descarga durante no máx. 10 segundos,
não se verificando o acendimento do
queimador piloto, acende-se a luz piloto
de bloqueio.
Pode manifestar-se no primeiro acendi-
mento ou após longos períodos de inactivi-
dade com a presença de ar na tubagem.
Pode ser provocada pela torneira do gás
fechada ou por uma das bobinas da válvu-
la que apresenta o enrolamento interrom-
pido não permitindo a sua abertura.
O eléctrodo não emite a descarga
Na caldeira nota-se somente a abertu-
ra do gás para o queimador, decorridos
10 segundos acende-se a luz piloto de
bloqueio.
Pode ser provocado pelo facto que o fio
do eléctrodo esteja interrompido ou não
esteja bem fixado no terminal do tran-
sformador de acendimento. O eléctrodo
está em massa ou muito gasto e neces-
sita de ser substituído. A placa electróni-
ca está defeituosa.
Por falta imprevista de tensão, dá-se o apa-
gamento imediato do queimador, ao resta-
belecer a tensão, o aparelho entra automa-
ticamente em funcionamento.
3.4
DISPOSITIVO DOS
FUMOS “25/60 OF”
É uma segurança contra o refluxo dos
fumos para o ambiente devido a uma inefi-
ciência ou entupimento parcial da chaminé
(9 fig. 3). Intervém bloqueando o funciona-
mento da válvula do gás quando a intro-
dução dos fumos no ambiente é contínua e
em quantidade tal a tornar-se perigoso.
Para restabelecer o funcionamento da cal-
deira. Se persistir em continuação o blo-
queio do aparelho, é necessário efectuar
um controlo atento da chaminé, efectuan-
do todas as modificações necessárias para
que se torne eficiente.
3.5 PRESSÓSTATO DOS FUMOS
“25/60 BF - 30/60 BF”
O pressóstato, com calibragem fixa 4,5-6
mm H
2
O (vers. “25/60”) e 10-13 mm H
2
O
(vers. “30/60”), tem a capacidade de
garantir o funcionamento do aparelho
mesmo com as tubagens de aspiração e
descarga no limite máximo de comprimen-
to permite (10 fig. 3).
As impurezas e as possíveis formações de
condensação, prováveis nos períodos mais
frios da estação, poderão causar falsos
acendimentos da caldeira.
3.6 SEGURANÇA POR
FALTA DE ÁGUA
Um pressóstato da água intervém, blo-
queando o funcionamento do queimador, no
caso em que a pressão na caldeira seja
inferior a 0,5 bar (6 fig. 3).
Para restabelecer o funcionamento do quei-
mador, actuar na torneira do enchimento
(fig. 7) e restabelecer a pressão para valo-
res compreendidos entre 1 e 1,2 bar.
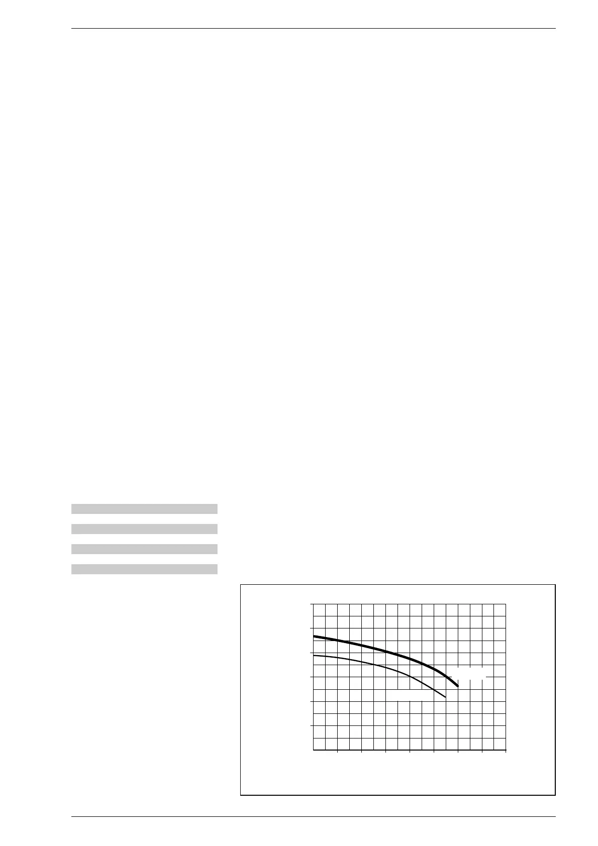
3.7 PREVALÊNCIA DISPONÍVEL
AO APARELHO
A prevalência resídua para o equipamento
de aquecimento é representada, em função
do fluxo, pelo gráfico da fig. 23.
3.8 RELÓGIO PROGRAMADOR
A PEDIDO (fig. 24)
O painel de comando permite a utilização de
um relógio programador para a gestão do
aquecimento, fornecido a pedido no kit cód.
8092203. Para efectuar a montagem do
relógio programador, retirar a cobertura do
TABELA 3
Temperatura (°C) Resistência ()
20 12.090
30 8.313
40 5.828
50 4.161
60 3.021
70 2.229
80 1.669
0
600
200
1600
140012001000800600400
PORTATA (l/h)
PREVALENZA RESIDUA (mbar)
500
400
100
200
300
25/60
30/60
Format e Planet 25 - 30/60
Fig. 23
CAUDAL (l/h)
PREVALÊNCIA RESÍDUA (mbar)

Related product manuals