EasyManua.ls Logo

Sime MURELLE EV - Page 29

Sime MURELLE EV
Print Icon
To Next Page IconTo Next Page
To Next Page IconTo Next Page
To Previous Page IconTo Previous Page
To Previous Page IconTo Previous Page
Loading...
29
KA
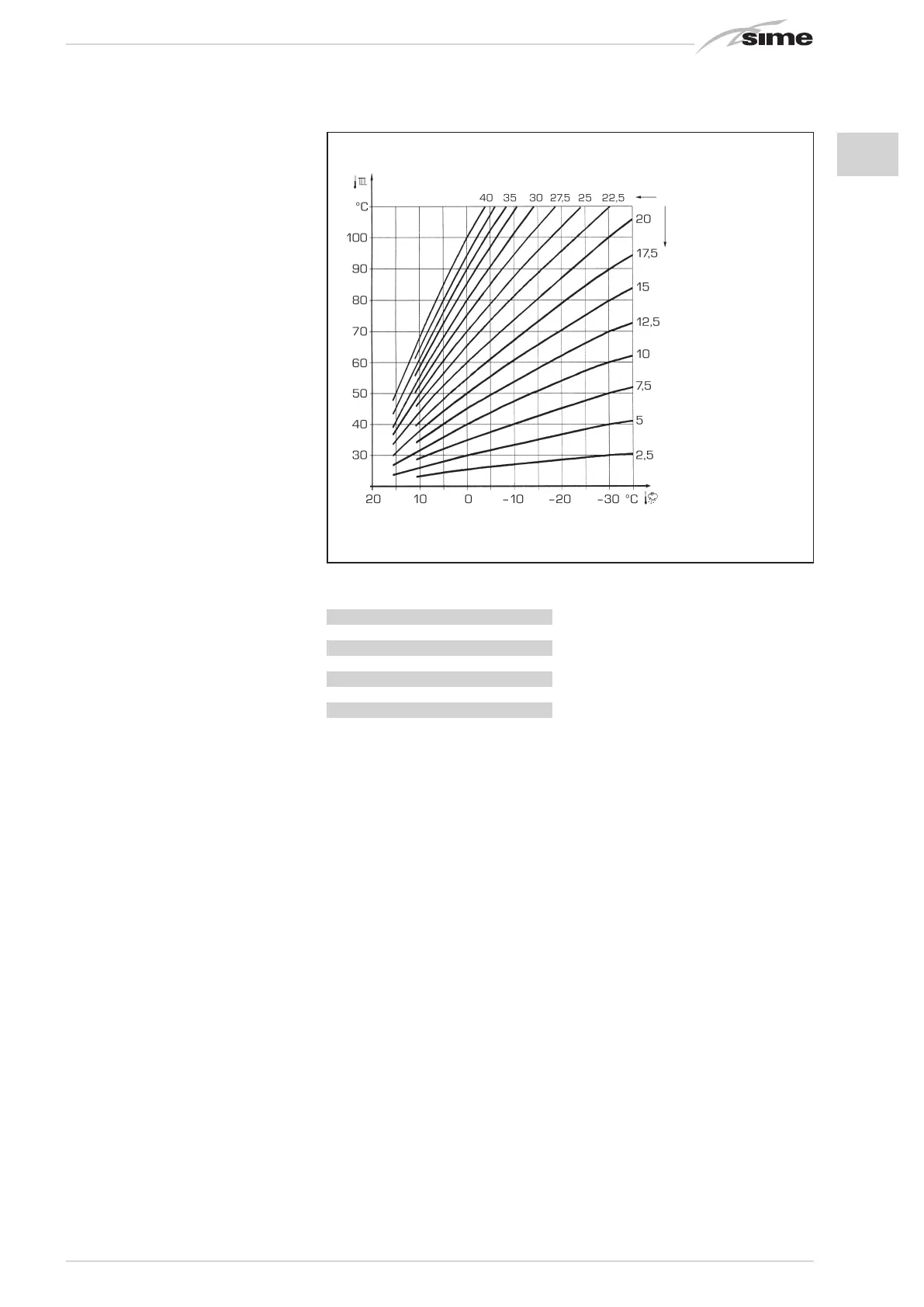
3.4 แƒ’แƒแƒ แƒ” แƒกแƒ”แƒœแƒกแƒแƒ แƒ˜
(แƒกแƒฃแƒ . 15)
แƒ’แƒแƒ แƒ” แƒกแƒ”แƒœแƒกแƒแƒ แƒ˜แƒก แƒแƒ แƒกแƒ”แƒ‘แƒแƒ‘แƒ˜แƒกแƒแƒก, แƒ’แƒแƒ—แƒ‘แƒแƒ‘แƒ˜แƒก
แƒžแƒแƒ แƒแƒ›แƒ”แƒขแƒ แƒ”แƒ‘แƒ˜ SET แƒจแƒ”แƒ˜แƒซแƒšแƒ”แƒ‘แƒ แƒแƒ›แƒแƒฆแƒ”แƒ‘แƒฃแƒš แƒ˜แƒฅแƒœแƒแƒก
แƒ™แƒšแƒ˜แƒ›แƒแƒขแƒฃแƒ แƒ˜ แƒ›แƒ แƒฃแƒ“แƒ˜แƒ“แƒแƒœ แƒ’แƒแƒ แƒ” แƒขแƒ”แƒ›แƒžแƒ”แƒ แƒแƒขแƒฃแƒ แƒ˜แƒก
แƒจแƒ”แƒกแƒแƒ‘แƒแƒ›แƒ˜แƒกแƒแƒ“ แƒ“แƒ, แƒœแƒ”แƒ‘แƒ˜แƒกแƒ›แƒ˜แƒ”แƒ  แƒจแƒ”แƒ›แƒ—แƒฎแƒ•แƒ”แƒ•แƒแƒจแƒ˜,
แƒจแƒ”แƒ›แƒแƒ˜แƒคแƒแƒ แƒ’แƒšแƒแƒก 3.3 แƒžแƒฃแƒœแƒฅแƒขแƒจแƒ˜ แƒแƒฆแƒฌแƒ”แƒ แƒ˜แƒšแƒ˜
แƒ“แƒ˜แƒแƒžแƒแƒ–แƒแƒœแƒ˜แƒก แƒ›แƒแƒฉแƒ•แƒ”แƒœแƒ”แƒ‘แƒšแƒ”แƒ‘แƒ˜แƒ— (แƒžแƒแƒ แƒแƒ›แƒ”แƒขแƒ แƒ”แƒ‘แƒ˜ PAR
25 แƒ–แƒแƒœแƒ 1-แƒกแƒ—แƒ•แƒ˜แƒก แƒ“แƒ PAR 26 แƒ–แƒแƒœแƒ 2-แƒกแƒ—แƒ•แƒ˜แƒก).
แƒ“แƒแƒกแƒแƒงแƒ”แƒœแƒ”แƒ‘แƒ”แƒšแƒ˜ แƒ™แƒšแƒ˜แƒ›แƒแƒขแƒฃแƒ แƒ˜ แƒ›แƒ แƒฃแƒ“แƒ˜ แƒจแƒ”แƒ˜แƒซแƒšแƒ”แƒ‘แƒ
แƒจแƒ”แƒ˜แƒ แƒฉแƒ”แƒก 3 แƒ“แƒ 40 แƒ›แƒœแƒ˜แƒจแƒ•แƒœแƒ”แƒšแƒแƒ‘แƒ”แƒ‘แƒ˜แƒ“แƒแƒœ
(แƒœแƒแƒ‘แƒ˜แƒฏแƒ˜ 1).
แƒกแƒฃแƒ . 15 แƒ›แƒแƒชแƒ”แƒ›แƒฃแƒšแƒ˜ แƒ›แƒ แƒฃแƒ“แƒ˜แƒก แƒชแƒ˜แƒชแƒแƒ‘แƒแƒ”แƒ‘แƒ˜แƒก
แƒ›แƒแƒ›แƒแƒขแƒ”แƒ‘แƒ แƒ’แƒแƒ–แƒ แƒ“แƒ˜แƒก แƒ’แƒแƒ›แƒแƒ›แƒแƒ•แƒแƒš แƒขแƒ”แƒ›แƒžแƒ”แƒ แƒแƒขแƒฃแƒ แƒแƒก
แƒ’แƒแƒ แƒ” แƒขแƒ”แƒ›แƒžแƒ”แƒ แƒแƒขแƒฃแƒ แƒ˜แƒก แƒจแƒ”แƒ›แƒชแƒ˜แƒ แƒ”แƒ‘แƒ˜แƒก แƒจแƒ”แƒ›แƒ—แƒฎแƒ•แƒ”แƒ•แƒแƒจแƒ˜.
3.5 แƒ‘แƒแƒ แƒแƒ—แƒ˜แƒก แƒคแƒฃแƒœแƒฅแƒชแƒ˜แƒแƒœแƒ˜แƒ แƒ”แƒ‘แƒ
แƒ”แƒšแƒ”แƒฅแƒขแƒ แƒแƒœแƒฃแƒš แƒ‘แƒแƒ แƒแƒ—แƒก แƒ’แƒแƒแƒฉแƒœแƒ˜แƒ แƒจแƒ”แƒ›แƒ“แƒ”แƒ’แƒ˜ แƒคแƒฃแƒœแƒฅแƒชแƒ˜แƒ”แƒ‘แƒ˜:
โ€“ แƒ’แƒแƒ—แƒ‘แƒแƒ‘แƒ˜แƒก แƒ“แƒ แƒกแƒแƒœแƒ˜แƒขแƒแƒ แƒฃแƒšแƒ˜ แƒฌแƒงแƒšแƒ˜แƒก แƒฌแƒ แƒ”แƒ“แƒ”แƒ‘แƒ˜แƒก
แƒ’แƒแƒงแƒ˜แƒœแƒ•แƒ˜แƒก แƒกแƒแƒฌแƒ˜แƒœแƒแƒแƒฆแƒ›แƒ“แƒ”แƒ’แƒ แƒ“แƒแƒชแƒ•แƒ (ICE).
โ€“ แƒแƒœแƒ—แƒ”แƒ‘แƒ˜แƒกแƒ แƒ“แƒ แƒแƒšแƒ˜แƒก แƒ“แƒ”แƒขแƒ”แƒฅแƒขแƒ˜แƒ แƒ”แƒ‘แƒ˜แƒก แƒกแƒ˜แƒกแƒขแƒ”แƒ›แƒ.
โ€“ แƒกแƒแƒ™แƒแƒœแƒขแƒ แƒแƒšแƒ แƒžแƒแƒœแƒ”แƒšแƒ˜แƒก แƒ“แƒแƒงแƒ”แƒœแƒ”แƒ‘แƒ แƒกแƒ˜แƒ›แƒซแƒšแƒแƒ•แƒ แƒ˜แƒกแƒ
แƒ“แƒ แƒ’แƒแƒ–แƒ˜แƒกแƒ—แƒ•แƒ˜แƒก แƒฅแƒ•แƒแƒ‘แƒ˜แƒก แƒคแƒฃแƒœแƒฅแƒชแƒ˜แƒแƒœแƒ˜แƒ แƒ”แƒ‘แƒ˜แƒกแƒ—แƒ•แƒ˜แƒก.
โ€“ แƒ‘แƒšแƒแƒ™แƒ˜แƒ แƒ”แƒ‘แƒ˜แƒก แƒกแƒแƒฌแƒ˜แƒœแƒแƒแƒฆแƒ›แƒ“แƒ”แƒ’แƒ แƒขแƒฃแƒ›แƒ‘แƒ,
แƒ แƒแƒ›แƒ”แƒšแƒ˜แƒช แƒ˜แƒ™แƒ•แƒ”แƒ‘แƒ”แƒ‘แƒ แƒ แƒแƒ›แƒ“แƒ”แƒœแƒ˜แƒ›แƒ” แƒฌแƒแƒ›แƒ˜ 24
แƒกแƒแƒแƒ—แƒ˜แƒแƒœแƒ˜ แƒฃแƒ›แƒแƒฅแƒ›แƒ”แƒ“แƒแƒ‘แƒ˜แƒก แƒจแƒ”แƒ›แƒ“แƒ”แƒ’.
โ€“ แƒ’แƒแƒงแƒ˜แƒœแƒ•แƒ˜แƒก แƒกแƒแƒฌแƒ˜แƒœแƒแƒแƒฆแƒ›แƒ“แƒ”แƒ’แƒ แƒ“แƒแƒชแƒ•แƒ แƒฅแƒ•แƒแƒ‘แƒ”แƒ‘แƒ˜แƒกแƒ—แƒ•แƒ˜แƒก
แƒแƒ™แƒฃแƒ›แƒฃแƒšแƒ˜แƒ แƒ”แƒ‘แƒฃแƒšแƒ˜ แƒ“แƒฃแƒฆแƒ˜แƒšแƒ˜แƒก แƒ‘แƒšแƒแƒ™แƒ˜แƒ—.
โ€“ แƒกแƒแƒ™แƒ•แƒแƒ›แƒฃแƒ แƒ˜แƒก แƒ’แƒแƒฌแƒ›แƒ”แƒœแƒ“แƒ˜แƒก แƒคแƒฃแƒœแƒฅแƒชแƒ˜แƒ, แƒ แƒแƒ›แƒ”แƒšแƒ˜แƒช
แƒจแƒ”แƒ˜แƒซแƒšแƒ”แƒ‘แƒ แƒ’แƒแƒแƒฅแƒขแƒ˜แƒฃแƒ แƒ“แƒ”แƒก แƒ›แƒแƒ แƒ—แƒ•แƒ˜แƒก แƒžแƒแƒœแƒ”แƒšแƒ˜แƒ“แƒแƒœ.
โ€“ แƒขแƒ”แƒ›แƒžแƒ”แƒ แƒแƒขแƒฃแƒ แƒ, แƒ แƒแƒ›แƒšแƒ˜แƒก แƒ’แƒแƒ“แƒแƒขแƒแƒœแƒ
แƒจแƒ”แƒกแƒแƒซแƒšแƒ”แƒ‘แƒ”แƒšแƒ˜แƒ แƒ’แƒแƒ แƒ” แƒกแƒ”แƒœแƒกแƒแƒ แƒ˜แƒก แƒจแƒ”แƒ”แƒ แƒ—แƒ”แƒ‘แƒ˜แƒ—.
แƒ›แƒ˜แƒกแƒ˜ แƒ“แƒแƒงแƒ”แƒœแƒ”แƒ‘แƒ แƒจแƒ”แƒกแƒแƒซแƒšแƒ”แƒ‘แƒ”แƒšแƒ˜แƒ แƒ›แƒแƒ แƒ—แƒ•แƒ˜แƒก
แƒžแƒแƒœแƒ”แƒšแƒ˜แƒ“แƒแƒœ แƒ“แƒ แƒ˜แƒก แƒแƒฅแƒขแƒ˜แƒฃแƒ แƒ˜แƒ แƒ’แƒแƒ—แƒ‘แƒแƒ‘แƒ˜แƒก
แƒกแƒ˜แƒกแƒขแƒ”แƒ›แƒ”แƒ‘แƒ–แƒ”, แƒ แƒแƒ’แƒแƒ แƒช แƒฌแƒ แƒ”แƒ“แƒจแƒ˜ 1, แƒแƒกแƒ”แƒ•แƒ”
แƒฌแƒ แƒ”แƒ“แƒจแƒ˜ 2.
โ€“ แƒแƒ แƒ˜ แƒ“แƒแƒ›แƒแƒฃแƒ™แƒ˜แƒ“แƒ”แƒ‘แƒ”แƒšแƒ˜ แƒ’แƒแƒ—แƒ‘แƒแƒ‘แƒ˜แƒก แƒฌแƒ แƒ”แƒ“แƒ˜แƒก
แƒกแƒ˜แƒกแƒขแƒ”แƒ›แƒ”แƒ‘แƒ˜แƒก แƒ›แƒแƒ แƒ—แƒ•แƒ.
โ€“ แƒแƒœแƒ—แƒ”แƒ‘แƒ˜แƒก แƒกแƒ˜แƒ›แƒซแƒšแƒแƒ•แƒ แƒ˜แƒกแƒ แƒ“แƒ แƒ›แƒแƒฅแƒกแƒ˜แƒ›แƒแƒšแƒฃแƒ แƒ˜
แƒ’แƒแƒ—แƒ‘แƒแƒ‘แƒ˜แƒก แƒแƒ•แƒขแƒแƒ›แƒแƒขแƒฃแƒ แƒ˜ แƒ แƒ”แƒ’แƒฃแƒšแƒ˜แƒ แƒ”แƒ‘แƒ.
แƒกแƒ˜แƒกแƒขแƒ”แƒ›แƒ˜แƒก แƒ›แƒแƒฅแƒกแƒ˜แƒ›แƒแƒšแƒฃแƒ แƒ˜ แƒ›แƒแƒฅแƒœแƒ˜แƒšแƒแƒ‘แƒ˜แƒก
แƒฃแƒ–แƒ แƒฃแƒœแƒ•แƒ”แƒšแƒกแƒแƒงแƒแƒคแƒแƒ“, แƒ”แƒšแƒ”แƒฅแƒขแƒ แƒแƒœแƒฃแƒšแƒ˜ แƒ‘แƒแƒ แƒแƒ—แƒ˜
แƒแƒ•แƒขแƒแƒ›แƒแƒขแƒฃแƒ แƒแƒ“ แƒแƒฎแƒแƒ แƒชแƒ˜แƒ”แƒšแƒ”แƒ‘แƒก แƒ แƒ”แƒ’แƒฃแƒšแƒ˜แƒ แƒ”แƒ‘แƒ”แƒ‘แƒก.
โ€“ แƒจแƒ”แƒ›แƒ“แƒ”แƒ’แƒ˜ แƒ”แƒšแƒ”แƒฅแƒขแƒ แƒแƒœแƒฃแƒšแƒ˜ แƒกแƒ˜แƒกแƒขแƒ”แƒ›แƒ”แƒ‘แƒ˜แƒก แƒ›แƒฅแƒแƒœแƒ”
แƒ˜แƒœแƒขแƒ”แƒ แƒคแƒ”แƒ˜แƒกแƒ˜: แƒ“แƒ˜แƒกแƒขแƒแƒœแƒชแƒ˜แƒฃแƒ แƒ˜ แƒ›แƒแƒ แƒ—แƒ•แƒ SIME
HOME แƒ™แƒแƒ“แƒ˜ 8092280/81, แƒ—แƒ”แƒ แƒ›แƒฃแƒšแƒ˜
แƒ แƒ”แƒ’แƒฃแƒšแƒแƒขแƒแƒ แƒ˜ RVS, แƒ“แƒแƒ™แƒแƒ•แƒจแƒ˜แƒ แƒ”แƒ‘แƒฃแƒšแƒ˜ แƒจแƒ”แƒ แƒ”แƒฃแƒšแƒ˜
แƒ–แƒแƒœแƒ˜แƒก แƒ›แƒแƒ แƒ—แƒ•แƒ˜แƒก แƒ‘แƒแƒ แƒแƒ—แƒ—แƒแƒœ ZONA MIX แƒ™แƒแƒ“แƒ˜
8092234 แƒ“แƒ แƒ›แƒ–แƒ˜แƒก แƒ‘แƒแƒ แƒแƒ—แƒ˜ INSOL แƒ™แƒแƒ“แƒ˜
8092235.
แƒจแƒ”แƒœแƒ˜แƒจแƒ•แƒœแƒ: RVS-แƒ˜แƒก แƒ’แƒแƒ›แƒแƒงแƒ”แƒœแƒ”แƒ‘แƒ˜แƒกแƒแƒก แƒ“แƒแƒแƒงแƒ”แƒœแƒ”แƒ—
แƒžแƒแƒ แƒแƒ›แƒ”แƒขแƒ แƒ˜ 10-แƒ“แƒแƒœ 3-แƒ›แƒ“แƒ” (PAR 10=3).
โ€“ แƒ™แƒแƒœแƒ“แƒ”แƒœแƒกแƒแƒขแƒ˜แƒก แƒกแƒแƒฌแƒ˜แƒœแƒแƒแƒฆแƒ›แƒ“แƒ”แƒ’แƒ แƒคแƒฃแƒœแƒฅแƒชแƒ˜แƒ, แƒกแƒฎแƒ”แƒฃแƒšแƒ˜แƒก
แƒฌแƒ˜แƒœแƒแƒกแƒฌแƒแƒ แƒ˜ แƒ’แƒแƒชแƒฎแƒ”แƒšแƒ”แƒ‘แƒ (โ€ž+โ€œ แƒœแƒ˜แƒจแƒแƒœแƒ˜ แƒซแƒ˜แƒ แƒ˜แƒ—แƒแƒ“แƒ˜
แƒชแƒ˜แƒคแƒ แƒ”แƒ‘แƒ˜แƒก แƒฌแƒ˜แƒœ) แƒ“แƒ แƒแƒœแƒขแƒ˜ แƒ˜แƒœแƒ”แƒ แƒชแƒ˜แƒ.
3.6 แƒขแƒ”แƒ›แƒžแƒ”แƒ แƒแƒขแƒฃแƒ แƒ˜แƒก แƒแƒ›แƒแƒชแƒœแƒแƒ‘แƒ˜แƒก แƒกแƒ”แƒœแƒกแƒแƒ แƒ˜
แƒชแƒฎแƒ แƒ˜แƒšแƒ˜ 3 แƒ˜แƒซแƒšแƒ”แƒ•แƒ แƒ”แƒšแƒ”แƒฅแƒขแƒ แƒ แƒ”แƒšแƒ”แƒ›แƒ”แƒœแƒขแƒ˜แƒก
แƒ›แƒœแƒ˜แƒจแƒ•แƒœแƒ”แƒšแƒแƒ‘แƒ”แƒ‘แƒก (ฮฉ), แƒ แƒแƒ›แƒšแƒ”แƒ‘แƒ˜แƒช แƒ›แƒ˜แƒฆแƒ”แƒ‘แƒฃแƒšแƒ˜แƒ
แƒ’แƒแƒ—แƒ‘แƒแƒ‘แƒ˜แƒกแƒ แƒ“แƒ แƒกแƒแƒœแƒ˜แƒขแƒแƒ แƒฃแƒšแƒ˜ แƒฌแƒงแƒšแƒ˜แƒก แƒกแƒ”แƒœแƒกแƒแƒ แƒ”แƒ‘แƒ–แƒ”
แƒขแƒ”แƒ›แƒžแƒ”แƒ แƒแƒขแƒฃแƒ แƒ˜แƒก แƒชแƒ•แƒแƒšแƒ”แƒ‘แƒแƒ“แƒแƒ‘แƒ˜แƒก แƒ›แƒ˜แƒฎแƒ”แƒ“แƒ•แƒ˜แƒ—.
แƒ แƒแƒ“แƒ”แƒกแƒแƒช แƒ’แƒแƒ—แƒ‘แƒแƒ‘แƒ˜แƒก แƒกแƒ”แƒœแƒกแƒแƒ แƒ˜ (SM) แƒฌแƒงแƒ•แƒ”แƒขแƒก
แƒ›แƒฃแƒจแƒแƒแƒ‘แƒแƒก, แƒฅแƒ•แƒแƒ‘แƒ˜ แƒแƒฆแƒแƒ  แƒ˜แƒคแƒฃแƒœแƒฅแƒชแƒ˜แƒแƒœแƒ˜แƒ แƒ”แƒ‘แƒก
แƒแƒ แƒ˜แƒ•แƒ” แƒ แƒ”แƒŸแƒ˜แƒ›แƒจแƒ˜.
D.H.W. แƒกแƒ”แƒœแƒกแƒแƒ แƒ˜แƒก (SS) แƒ’แƒแƒ—แƒ˜แƒจแƒ•แƒ˜แƒ—, แƒฅแƒ•แƒแƒ‘แƒ˜
แƒ˜แƒคแƒฃแƒœแƒฅแƒชแƒ˜แƒแƒœแƒ˜แƒ แƒ”แƒ‘แƒก, แƒ›แƒแƒ’แƒ แƒแƒ› D.H.W.-แƒกแƒ—แƒ•แƒ˜แƒก แƒแƒ 
แƒ›แƒแƒแƒฎแƒ“แƒ”แƒœแƒก แƒ”แƒœแƒ”แƒ แƒ’แƒ˜แƒ˜แƒก แƒ›แƒแƒ“แƒฃแƒšแƒแƒชแƒ˜แƒแƒก.
3.7 แƒ”แƒšแƒ”แƒฅแƒขแƒ แƒแƒœแƒฃแƒšแƒ˜ แƒแƒœแƒ—แƒ”แƒ‘แƒ
แƒแƒœแƒ—แƒ”แƒ‘แƒ˜แƒกแƒ แƒ“แƒ แƒแƒšแƒ˜แƒก แƒ“แƒ”แƒขแƒ”แƒฅแƒขแƒ˜แƒ แƒ”แƒ‘แƒ แƒ™แƒแƒœแƒขแƒ แƒแƒšแƒ“แƒ”แƒ‘แƒ
แƒกแƒแƒœแƒ—แƒฃแƒ แƒแƒจแƒ˜ แƒ”แƒ แƒ—แƒ˜ แƒ”แƒšแƒ”แƒฅแƒขแƒ แƒแƒ“แƒ˜แƒก แƒกแƒแƒจแƒฃแƒแƒšแƒ”แƒ‘แƒ˜แƒ—,
แƒ แƒแƒ›แƒ”แƒšแƒ˜แƒช แƒฃแƒ–แƒ แƒฃแƒœแƒ•แƒ”แƒšแƒงแƒแƒคแƒก แƒ แƒ”แƒแƒฅแƒชแƒ˜แƒแƒก
แƒจแƒ”แƒ›แƒ—แƒฎแƒ•แƒ”แƒ•แƒ˜แƒ—แƒ˜ แƒฉแƒแƒฅแƒ แƒแƒ‘แƒ˜แƒก แƒแƒœ แƒแƒ˜แƒ แƒ˜แƒก แƒœแƒแƒ™แƒšแƒ”แƒ‘แƒแƒ‘แƒแƒก
แƒ”แƒ แƒ—แƒ˜ แƒฌแƒแƒ›แƒ˜แƒก แƒคแƒแƒ แƒ’แƒšแƒ”แƒ‘แƒจแƒ˜.
3.7.1 แƒคแƒฃแƒœแƒฅแƒชแƒ˜แƒแƒœแƒ˜แƒ แƒ”แƒ‘แƒ˜แƒก แƒชแƒ˜แƒ™แƒšแƒ˜
แƒกแƒแƒœแƒ—แƒฃแƒ แƒ˜แƒก แƒแƒœแƒ—แƒ”แƒ‘แƒ แƒฎแƒ“แƒ”แƒ‘แƒ แƒ›แƒแƒฅแƒก. 10 แƒฌแƒแƒ›แƒ˜แƒก
แƒคแƒแƒ แƒ’แƒšแƒ”แƒ‘แƒจแƒ˜ แƒ’แƒแƒ–แƒ˜แƒก แƒกแƒแƒ แƒฅแƒ•แƒšแƒ˜แƒก แƒ’แƒแƒฎแƒกแƒœแƒ˜แƒ“แƒแƒœ.
แƒแƒœแƒ—แƒ”แƒ‘แƒ˜แƒก แƒฌแƒแƒ แƒฃแƒ›แƒแƒขแƒ”แƒ‘แƒšแƒแƒ‘แƒ แƒจแƒ”แƒ›แƒ“แƒ’แƒแƒ›แƒ˜ แƒ‘แƒšแƒแƒ™แƒ˜แƒก
แƒ’แƒแƒแƒฅแƒขแƒ˜แƒฃแƒ แƒ”แƒ‘แƒ˜แƒ— แƒจแƒ”แƒ˜แƒซแƒšแƒ”แƒ‘แƒ แƒ’แƒแƒ›แƒแƒฌแƒ•แƒ”แƒฃแƒšแƒ˜ แƒ˜แƒงแƒแƒก:
โ€“ แƒ’แƒแƒ–แƒ˜แƒก แƒœแƒแƒ™แƒšแƒ”แƒ‘แƒแƒ‘แƒ˜แƒ—
แƒแƒœแƒ—แƒ”แƒ‘แƒ˜แƒก แƒ”แƒšแƒ”แƒฅแƒขแƒ แƒแƒ“แƒ˜ แƒ’แƒแƒœแƒแƒ’แƒ แƒซแƒแƒ‘แƒก แƒ’แƒแƒœแƒ›แƒฃแƒฎแƒขแƒ•แƒแƒก
แƒ›แƒแƒฅแƒก. 10 แƒฌแƒแƒ›แƒ˜แƒก แƒ’แƒแƒœแƒ›แƒแƒ•แƒšแƒแƒ‘แƒแƒจแƒ˜. แƒ—แƒฃ แƒกแƒแƒœแƒ—แƒฃแƒ แƒ แƒแƒ 
แƒแƒ˜แƒœแƒ—แƒ”แƒ‘แƒ, แƒฉแƒแƒ˜แƒ แƒ—แƒ•แƒ”แƒ‘แƒ แƒแƒœแƒแƒ›แƒแƒšแƒ˜แƒ˜แƒก แƒกแƒ˜แƒ’แƒœแƒแƒšแƒ˜.
แƒ”แƒก แƒจแƒ”แƒ˜แƒซแƒšแƒ”แƒ‘แƒ แƒ›แƒแƒฎแƒ“แƒ”แƒก แƒ แƒแƒ“แƒ”แƒกแƒแƒช แƒฅแƒ•แƒแƒ‘แƒ˜ แƒ˜แƒ แƒ—แƒ•แƒ”แƒ‘แƒ
แƒžแƒ˜แƒ แƒ•แƒ”แƒšแƒแƒ“ แƒฎแƒแƒœแƒ’แƒ แƒซแƒšแƒ˜แƒ•แƒ˜ แƒฃแƒ›แƒแƒฅแƒ›แƒ”แƒ“แƒแƒ‘แƒ˜แƒก แƒจแƒ”แƒ›แƒ“แƒ”แƒ’
แƒแƒ˜แƒ แƒ˜แƒก แƒ›แƒ˜แƒšแƒ”แƒ‘แƒจแƒ˜ แƒฐแƒแƒ”แƒ แƒ˜แƒก แƒแƒ แƒกแƒ”แƒ‘แƒแƒ‘แƒ˜แƒก แƒ’แƒแƒ›แƒ.
แƒ”แƒก แƒจแƒ”แƒ˜แƒซแƒšแƒ”แƒ‘แƒ แƒ’แƒแƒ›แƒแƒฌแƒ•แƒ”แƒฃแƒšแƒ˜ แƒ˜แƒงแƒแƒก แƒ’แƒแƒ–แƒ˜แƒก แƒ“แƒแƒ™แƒ”แƒขแƒ˜แƒšแƒ˜
แƒแƒœแƒ™แƒแƒœแƒ˜แƒ— แƒแƒœ แƒ“แƒแƒ–แƒ˜แƒแƒœแƒ”แƒ‘แƒฃแƒšแƒ˜ แƒกแƒแƒ แƒฅแƒ•แƒšแƒ˜แƒก แƒฎแƒ•แƒ”แƒฃแƒšแƒ˜แƒ—
(แƒจแƒ”แƒฌแƒงแƒ•แƒ”แƒขแƒ แƒแƒ  แƒ˜แƒซแƒšแƒ”แƒ•แƒ แƒ’แƒแƒฎแƒกแƒœแƒ˜แƒก แƒกแƒแƒจแƒฃแƒแƒšแƒ”แƒ‘แƒแƒก).
โ€“ แƒ”แƒšแƒ”แƒฅแƒขแƒ แƒแƒ“แƒ˜ แƒแƒ  แƒ’แƒแƒœแƒ˜แƒ›แƒฃแƒฎแƒขแƒ”แƒ‘แƒ.
แƒฅแƒ•แƒแƒ‘แƒจแƒ˜ แƒจแƒ”แƒ˜แƒซแƒšแƒ”แƒ‘แƒ แƒ’แƒแƒ›แƒแƒ•แƒšแƒ˜แƒœแƒ“แƒ”แƒก แƒ›แƒฎแƒแƒšแƒแƒ“
แƒ’แƒแƒ–แƒ˜แƒก แƒ’แƒแƒฎแƒกแƒœแƒ แƒกแƒแƒœแƒ—แƒฃแƒ แƒ–แƒ”. 10 แƒฌแƒแƒ›แƒจแƒ˜ แƒฉแƒแƒ˜แƒ แƒ—แƒ•แƒ”แƒ‘แƒ
แƒแƒœแƒแƒ›แƒแƒšแƒ˜แƒ˜แƒก แƒกแƒ˜แƒ’แƒœแƒแƒšแƒ˜.
แƒ”แƒก แƒจแƒ”แƒ˜แƒซแƒšแƒ”แƒ‘แƒ แƒ’แƒแƒ›แƒแƒฌแƒ•แƒ”แƒฃแƒšแƒ˜ แƒ˜แƒงแƒแƒก แƒ”แƒšแƒ”แƒฅแƒขแƒ แƒแƒ“แƒ˜แƒก
แƒ›แƒแƒ•แƒ—แƒฃแƒšแƒ˜แƒก แƒ’แƒแƒฌแƒงแƒ•แƒ”แƒขแƒ˜แƒ— แƒแƒœ แƒ—แƒฃ แƒ˜แƒก แƒแƒ แƒแƒกแƒฌแƒแƒ แƒแƒ“ แƒแƒ แƒ˜แƒก
แƒ›แƒ˜แƒ”แƒ แƒ—แƒ”แƒ‘แƒฃแƒšแƒ˜ แƒจแƒ”แƒ”แƒ แƒ—แƒ”แƒ‘แƒ˜แƒก แƒฌแƒ”แƒ แƒขแƒ˜แƒšแƒ”แƒ‘แƒ–แƒ”.
แƒแƒœ แƒ”แƒšแƒ”แƒฅแƒขแƒ แƒแƒ“แƒ˜ แƒจแƒ”แƒ˜แƒซแƒšแƒ”แƒ‘แƒ แƒ˜แƒงแƒแƒก แƒ“แƒแƒ›แƒ˜แƒฌแƒ”แƒ‘แƒฃแƒšแƒ˜ แƒแƒœ
แƒซแƒแƒšแƒ–แƒ” แƒ’แƒแƒชแƒ•แƒ”แƒ—แƒ˜แƒšแƒ˜: แƒ˜แƒก แƒฃแƒœแƒ“แƒ แƒจแƒ”แƒ˜แƒชแƒ•แƒแƒšแƒแƒก.
แƒแƒœ แƒ”แƒšแƒ”แƒฅแƒขแƒ แƒแƒœแƒฃแƒšแƒ˜ แƒ‘แƒแƒ แƒแƒ—แƒ˜ แƒจแƒ”แƒ˜แƒซแƒšแƒ”แƒ‘แƒ แƒ˜แƒงแƒแƒก
แƒ“แƒ”แƒคแƒ”แƒฅแƒขแƒ˜แƒ—.
แƒซแƒแƒ‘แƒ•แƒ˜แƒก แƒฃแƒ”แƒชแƒแƒ แƒ˜ แƒœแƒแƒ™แƒšแƒ”แƒ‘แƒแƒ‘แƒ˜แƒก แƒจแƒ”แƒ›แƒ—แƒฎแƒ•แƒ”แƒ•แƒแƒจแƒ˜,
แƒกแƒแƒœแƒ—แƒฃแƒ แƒ แƒ“แƒแƒฃแƒงแƒแƒ•แƒœแƒ”แƒ‘แƒšแƒ˜แƒ• แƒ’แƒแƒ›แƒแƒ˜แƒ แƒ—แƒ•แƒ”แƒ‘แƒ.
แƒ แƒแƒ“แƒ”แƒกแƒแƒช แƒซแƒแƒ‘แƒ•แƒ แƒแƒฆแƒ“แƒ’แƒ”แƒ‘แƒ, แƒฅแƒ•แƒแƒ‘แƒ˜ แƒแƒ•แƒขแƒแƒ›แƒแƒขแƒฃแƒ แƒแƒ“
แƒ“แƒแƒ˜แƒฌแƒงแƒ”แƒ‘แƒก แƒ›แƒฃแƒจแƒแƒแƒ‘แƒแƒก.
3.8 แƒ™แƒ•แƒแƒ›แƒšแƒ˜แƒก แƒ—แƒ”แƒ แƒ›แƒแƒกแƒขแƒแƒขแƒ˜ แƒ•แƒ”แƒ แƒกแƒ˜แƒ OF
แƒ”แƒก แƒแƒ แƒ˜แƒก แƒฃแƒกแƒแƒคแƒ แƒ—แƒฎแƒแƒ”แƒ‘แƒ˜แƒก แƒ–แƒแƒ›แƒ แƒ™แƒ•แƒแƒ›แƒšแƒ˜แƒก
แƒ“แƒแƒ‘แƒ แƒฃแƒœแƒ”แƒ‘แƒ˜แƒก แƒกแƒแƒฌแƒ˜แƒœแƒแƒแƒฆแƒ›แƒ“แƒ”แƒ’แƒแƒ“ แƒแƒ แƒแƒ”แƒคแƒ”แƒฅแƒขแƒฃแƒ แƒ˜ แƒแƒœ
แƒœแƒแƒฌแƒ˜แƒšแƒแƒ‘แƒ แƒ˜แƒ• แƒ“แƒแƒ‘แƒ แƒ™แƒแƒšแƒ”แƒ‘แƒฃแƒšแƒ˜ แƒกแƒแƒ™แƒ•แƒแƒ›แƒฃแƒ แƒ˜แƒก แƒ’แƒแƒ›แƒ
(6 แƒกแƒฃแƒ . 3).
แƒ˜แƒก แƒ แƒ”แƒแƒ’แƒ˜แƒ แƒ”แƒ‘แƒก แƒ’แƒแƒ–แƒ˜แƒก แƒกแƒแƒ แƒฅแƒ•แƒšแƒ˜แƒก แƒคแƒฃแƒœแƒฅแƒชแƒ˜แƒแƒœแƒ˜แƒ แƒ”แƒ‘แƒ˜แƒก
แƒ“แƒแƒ‘แƒšแƒแƒ™แƒ•แƒ˜แƒ—, แƒ แƒแƒ“แƒ”แƒกแƒแƒช แƒ™แƒ•แƒแƒ›แƒšแƒ˜ แƒ‘แƒ แƒฃแƒœแƒ“แƒ”แƒ‘แƒ
แƒกแƒแƒคแƒ แƒ—แƒฎแƒ” แƒจแƒ”แƒ›แƒชแƒ•แƒ”แƒšแƒ˜ แƒ แƒแƒแƒ“แƒ”แƒœแƒแƒ‘แƒ˜แƒ—. แƒ—แƒฃ แƒฅแƒ•แƒแƒ‘แƒ˜
แƒแƒ แƒแƒ”แƒ แƒ—แƒฎแƒ”แƒš แƒกแƒฌแƒงแƒ•แƒ”แƒขแƒก แƒ›แƒฃแƒจแƒแƒแƒ‘แƒแƒก, แƒกแƒแƒญแƒ˜แƒ แƒ
แƒ˜แƒฅแƒœแƒ”แƒ‘แƒ แƒกแƒแƒ™แƒ•แƒแƒ›แƒฃแƒ แƒ˜แƒก แƒกแƒแƒ’แƒฃแƒšแƒ“แƒแƒ’แƒฃแƒšแƒ แƒจแƒ”แƒ›แƒแƒฌแƒ›แƒ”แƒ‘แƒ
แƒ“แƒ แƒ›แƒ˜แƒฆแƒ”แƒ‘แƒฃแƒš แƒ˜แƒฅแƒœแƒแƒก แƒงแƒ•แƒ”แƒšแƒ แƒแƒฃแƒชแƒ˜แƒšแƒ”แƒ‘แƒ”แƒšแƒ˜ แƒ–แƒแƒ›แƒ
แƒฅแƒ›แƒ”แƒ“แƒ˜แƒ—แƒ˜ แƒ›แƒฃแƒจแƒ แƒ›แƒ“แƒ’แƒแƒ›แƒแƒ แƒ”แƒแƒ‘แƒ˜แƒก แƒแƒฆแƒกแƒแƒ“แƒ’แƒ”แƒœแƒแƒ“.
แƒ›แƒแƒฌแƒงแƒแƒ‘แƒ˜แƒšแƒแƒ‘แƒแƒ–แƒ” แƒ’แƒแƒœแƒฎแƒแƒ แƒชแƒ˜แƒ”แƒšแƒ”แƒ‘แƒฃแƒšแƒ˜ แƒงแƒแƒ•แƒ”แƒšแƒ˜
แƒฉแƒแƒ แƒ”แƒ•แƒ˜แƒก แƒจแƒ”แƒ›แƒ“แƒ’แƒแƒ›, แƒจแƒ”แƒแƒ›แƒแƒฌแƒ›แƒ”แƒ— แƒ›แƒ˜แƒกแƒ˜ แƒ’แƒแƒ›แƒแƒ แƒ—แƒฃแƒšแƒ˜
แƒคแƒฃแƒœแƒฅแƒชแƒ˜แƒแƒœแƒ˜แƒ แƒ”แƒ‘แƒ. แƒ แƒแƒ˜แƒ›แƒ” แƒœแƒแƒฌแƒ˜แƒšแƒ˜แƒก แƒจแƒ”แƒชแƒ•แƒšแƒ˜แƒก
แƒแƒฃแƒชแƒ˜แƒšแƒ”แƒ‘แƒšแƒแƒ‘แƒ˜แƒกแƒแƒก, แƒ’แƒแƒ›แƒแƒ˜แƒงแƒ”แƒœแƒ”แƒ— แƒ›แƒฎแƒแƒšแƒแƒ“
แƒแƒ แƒ˜แƒ’แƒ˜แƒœแƒแƒšแƒฃแƒ แƒ˜ แƒกแƒแƒ—แƒแƒ“แƒแƒ แƒ˜แƒ’แƒแƒ”แƒ‘แƒ˜.
3.9 แƒ™แƒ•แƒแƒ›แƒšแƒ˜แƒก แƒฌแƒœแƒ”แƒ•แƒ˜แƒก แƒ’แƒแƒ“แƒแƒ›แƒ แƒ—แƒ•แƒ”แƒšแƒ˜
แƒ•แƒ”แƒ แƒกแƒ˜แƒ BF-BFT (แƒกแƒฃแƒ . 16)
แƒฌแƒœแƒ”แƒ•แƒ˜แƒก แƒ’แƒแƒ“แƒแƒ›แƒ แƒ—แƒ•แƒ”แƒšแƒ˜ แƒ“แƒแƒ™แƒแƒšแƒ˜แƒ‘แƒ แƒ”แƒ‘แƒฃแƒšแƒ˜แƒ
แƒ›แƒฌแƒแƒ แƒ›แƒแƒ”แƒ‘แƒšแƒ˜แƒก แƒ›แƒ˜แƒ”แƒ  แƒจแƒ”แƒ›แƒ“แƒ”แƒ’ แƒ›แƒแƒฉแƒ•แƒ”แƒœแƒ”แƒ‘แƒšแƒ”แƒ‘แƒ–แƒ”:
โ€“ 5.3 - 6.3 H2O แƒ•แƒ”แƒ แƒกแƒ˜แƒ˜แƒกแƒ—แƒ•แƒ˜แƒก โ€œ25 BF - 25
BFTโ€
โ€“ 3.6 - 4.6 H2O แƒ•แƒ”แƒ แƒกแƒ˜แƒ˜แƒกแƒ—แƒ•แƒ˜แƒก โ€œ30 BFโ€
โ€“ 4.6 - 5.6 H2O แƒ•แƒ”แƒ แƒกแƒ˜แƒ˜แƒกแƒ—แƒ•แƒ˜แƒก โ€œ20 BF - 35
BFTโ€
แƒชแƒฎแƒ แƒ˜แƒšแƒ˜ 3
แƒขแƒ”แƒ›แƒžแƒ”แƒ แƒแƒขแƒฃแƒ แƒ (ยฐC) แƒฌแƒ˜แƒœแƒแƒฆแƒแƒ‘แƒ (ฮฉ)
20 12,090
30 8,313
40 5,828
50 4,161
60 3,021
70 2,229
80 1,669
แƒกแƒฃแƒ . 15
แƒงแƒฃแƒ แƒแƒ“แƒฆแƒ”แƒ‘แƒ: แƒ›แƒ แƒฃแƒ“แƒ”แƒ‘แƒ˜
แƒ’แƒแƒแƒœแƒ’แƒแƒ แƒ˜แƒจแƒ”แƒ‘แƒฃแƒšแƒ˜แƒ
20ยฐC แƒ’แƒแƒ แƒ”แƒ›แƒแƒก
แƒขแƒ”แƒ›แƒžแƒ”แƒ แƒแƒขแƒฃแƒ แƒแƒ–แƒ”.
แƒ›แƒแƒ›แƒฎแƒ›แƒแƒ แƒ”แƒ‘แƒ”แƒšแƒก
แƒจแƒ”แƒฃแƒซแƒšแƒ˜แƒ
แƒ˜แƒ›แƒแƒฅแƒ›แƒ”แƒ“แƒแƒก แƒฅแƒ•แƒแƒ‘แƒ˜แƒก
แƒ™แƒแƒœแƒขแƒ แƒแƒšแƒ”แƒ‘แƒ–แƒ”
แƒ’แƒแƒ แƒ”แƒ›แƒแƒก แƒžแƒแƒ แƒแƒ›แƒ”แƒขแƒ แƒ˜แƒก
แƒจแƒ”แƒกแƒแƒชแƒ•แƒšแƒ”แƒšแƒแƒ“,
แƒ แƒแƒ›แƒšแƒ˜แƒกแƒ—แƒ•แƒ˜แƒกแƒแƒช
แƒ“แƒแƒกแƒแƒจแƒ•แƒ”แƒ‘แƒ˜แƒ แƒ’แƒแƒ“แƒแƒฎแƒ แƒ
ยฑ 5ยฐC.

Related product manuals