EasyManua.ls Logo

Sime MURELLE HM - Page 29

Sime MURELLE HM
Print Icon
To Next Page IconTo Next Page
To Next Page IconTo Next Page
To Previous Page IconTo Previous Page
To Previous Page IconTo Previous Page
Loading...
29
ES
PT
ENG
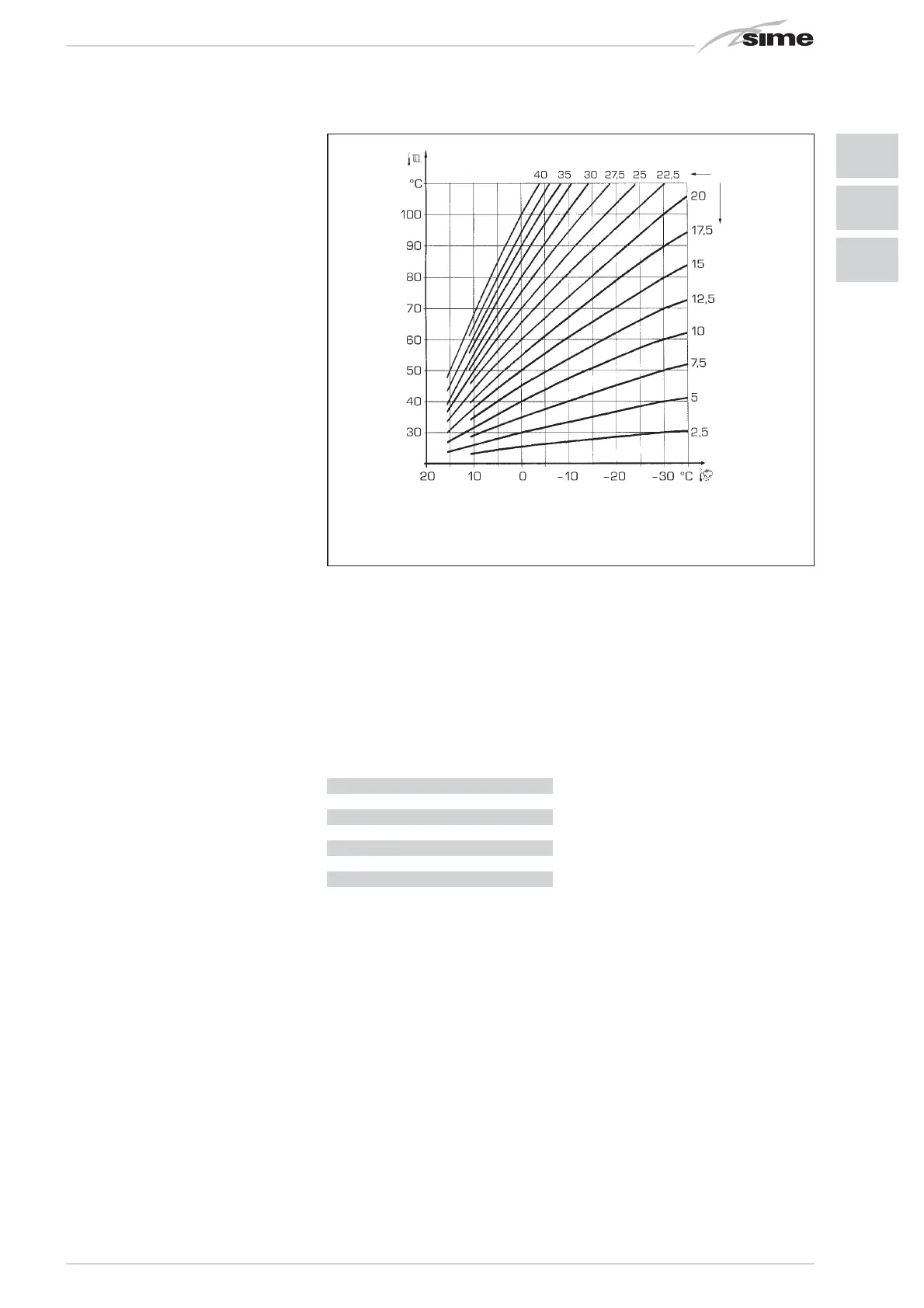
3.4 SONDA EXTERNA CONECTADA
(fig. 13)
En caso de presencia de sonda externa, los
ajustes de calefacción se obtienen de las
curvas climáticas en función de la tempera-
tura externa, y de todos modos se mantie-
nen dentro del rango indicado en 3.3 (pará-
metros PAR 22 para la zona 1, PAR 25
para la zona 2 y PAR 28 para la zona 3).
La curva climática se puede seleccionar
entre los valores de 3 y 40 (con pasos de
1). Aumentando la pendiente representada
por la curva de la fig. 13, se incrementa la
temperatura de impulsión de la instalación
conforme a la temperatura externa.
3.5 FUNCIONES DE LA TARJETA
La tarjeta electrónica cumple las siguientes
funciones:
Protección anticongelante circuito cale-
facción y sanitario (ICE).
– Sistema de encendido y detección de
llama.
Programación en el panel de mandos de
la potencia y el gas para el funcionamien-
to de la caldera.
Antibloqueo de la bomba para que se ali-
mente durante unos segundos después
de 24 horas de inactividad.
Protección antilegionella para caldera
con calentador acumulador.
Limpiachimeneas activable desde el
panel de mandos.
– Ajuste de la temperatura con la sonda
externa conectada. Se ajusta desde el
panel de mandos y se activa tanto en el
circuito 1 como en el circuito 2 y 3 de la
calefacción.
Gestión de 3 circuitos de calefacción
independientes.
Regulación automática de la potencia de
encendido y máxima de calefacción. Las
regulaciones son gestionadas automáti-
camente por la tarjeta electrónica para
garantizar la máxima flexibilidad de uso
en la instalación.
Interfaz con los siguientes sistemas elec-
trónicos: regulador climático CR 53, con-
trol remoto CR 73, termorregulación
RVS, conexión a una tarjeta de gestión de
una zona de mezcla ZONA MIX
c
ó
d.
8092234, a la tarjeta solar INSOL c
ó
d.
8092235 y
a la tarjeta RS-485 para el
control en cascada de hasta 8 calderas o
implementar un tipo de comunicación
Modbus (slave RTU-RS485, Reference
Guide PI-MBUS-300 Rev. J) cód.
8092243. Para la configuración de los
dispositivos con la tarjeta de la caldera,
programar el parámetro instalador PAR
10.
3.6 SONDAS DETECCIÓN DE
TEMPERATURA
En la Tabla 4 se indican los valores de resi-
stencia () que se obtienen en las sondas
de calefacción, sanitario y humos al variar
la temperatura.
Con la sonda ida de calefacción (SM),
retorno de calefacción (SR) y humos (SF)
interrumpida, la caldera no funciona en
ninguno de los dos servicios. Con la sonda
sanitario (SS) interrumpida, la caldera
funciona pero no efectúa la modulación
de potencia en fase sanitario.
3.7 ENCENDIDO ELECTRONICO
El encendido y la detección de llama se con-
trolan por dos electrodos puestos en el que-
mador que garantizan la máxima seguridad
con tiempos de intervención por apagados
accidentales o falta de gas, dentro de un
segundo.
3.7.1 Ciclo de funcionamiento
El encendido del quemador debe tener lugar
en un plazo de 10 segundos desde la aper-
tura de la válvula de gas. Un fallo de encen-
dido con consiguiente activación de la señal
de bloqueo puede atribuirse a:
Falta de gas
El electrodo de encendido persiste en la
descarga unos 10 segundos como máxi-
mo; si no se verifica el encendido del que-
mador, se señaliza la anomalía.
Puede ocurrir al primer encendido o
después de largos períodos de inactivi-
dad por presencia de aire en la tubería
del gas.
Puede ser que el grifo del gas esté cer-
rado o que la válvula tenga una bobina
interrumpida y no permita la apertura.
El electrodo de encendido no genera la
descarga
En la caldera se detecta sólo la apertura
del gas para el quemador; transcurridos
10 segundos se señaliza la anomalía.
La causa puede ser la interrupción del
cable del electrodo o su fijación incorrec-
ta en los puntos de conexión.
El electrodo está conectado a masa o
muy desgastado: es necesario sustituirlo.
La tarjeta electrónica está averiada.
No hay detección de llama
En el momento del encendido se detecta
la descarga continua del electrodo aun-
que el quemador resulte encendido.
Transcurridos 10 segundos, cesa la
descarga, se apaga el quemador y se
señaliza la anomalía.
La causa puede ser la interrupción del
cable del electrodo o su fijación incorrec-
ta en los puntos de conexión.
El electrodo está conectado a masa o
muy desgastado: es necesario sustituirlo.
La tarjeta electrónica es defectuosa.
Por falta imprevista de corriente el quema-
dor se apaga inmediatamente. Al volver la
corriente, la caldera se pone automática-
mente en marcha.
TABLA 4
Temperatura (°C) Resistencia ()
20 12.090
30 8.313
40 5.828
50 4.161
60 3.021
70 2.229
80 1.669
Fig. 13
ATENCIÓN: Las curvas se calculan con temperatura ambien-
te de 20°C. El usuario puede utilizar los mandos de la calde-
ra para variarlas de ±5 °C el set ambiente para el cual está
calculada la curva.

Related product manuals