EasyManua.ls Logo

Singer 1422 - Page 41

Singer 1422
42 pages
Print Icon
To Next Page IconTo Next Page
To Next Page IconTo Next Page
To Previous Page IconTo Previous Page
To Previous Page IconTo Previous Page
Loading...
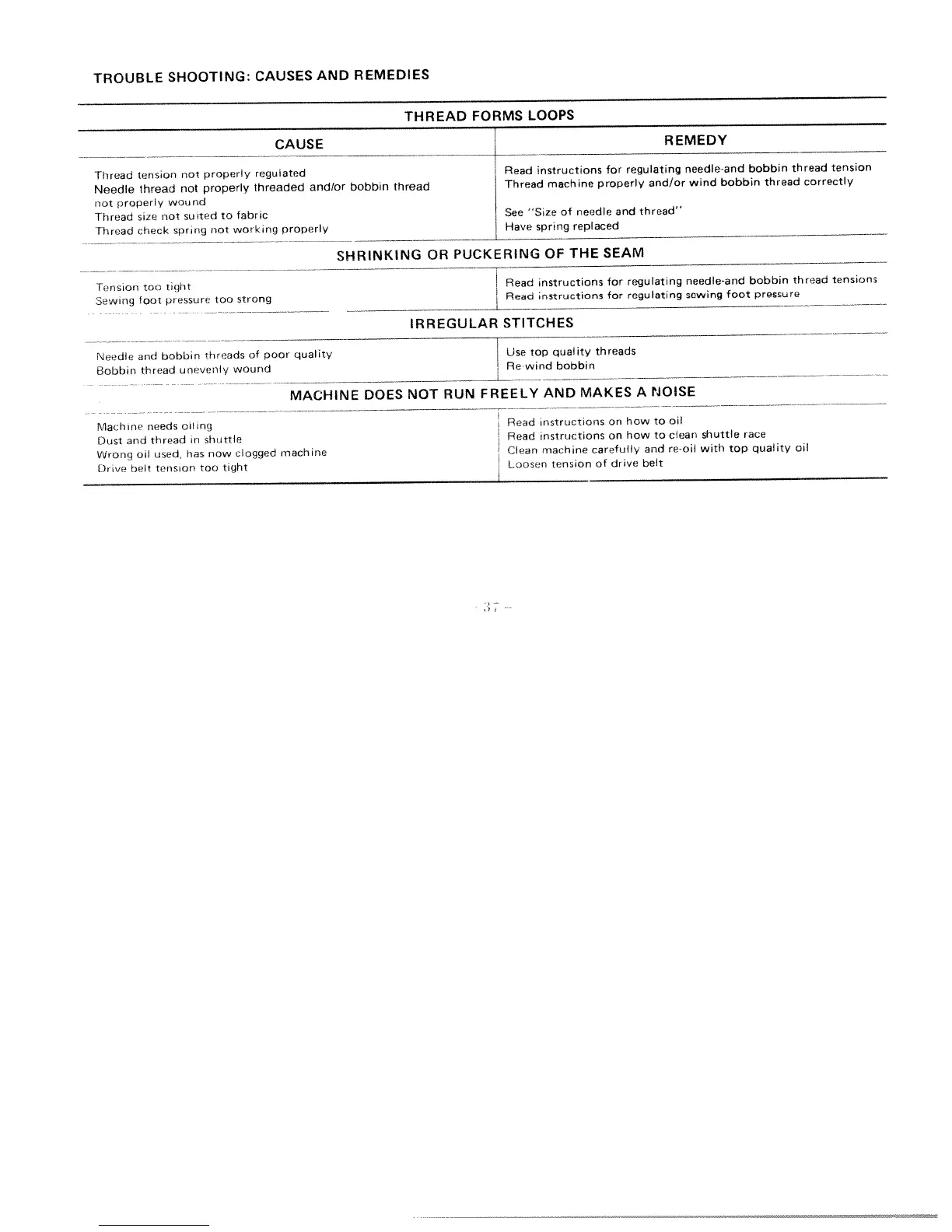
TROUBLE
SHOOTING:
CAUSES
AND
REMEDIES
THREAD
FORMS
LOOPS
CAUSE
REMEDY
Thread
tension
not
properly
regulated
Read
instructions
for
regulating
needle-and
bobbin
thread
tension
Needle
thread
not
properly
threaded
and/or
bobbin
thread
Thread
machine
properly
and/or
wind
bobbin
thread
correctly
not
properly
wound
Thread
size
not
suited
to
fabric
See
Size
of
needle
and
thread”
Thread
check
spring
not
work
rng
properly
Have
spring
replaced
SHRINKING
OR
PUCKERING
OF
THE
SEAM
Tension
too
tight
Read
instructions
for
regulating
needle-and
bobbin
thread
tensions
Sewing
foot
pressurE
toostrong
Read
instructions
for
regulating
sewing
foot
pressure
IRREGULAR
STITCHES
Needle
and
bobbin
threads
of
poor
quality
Use
top
quaiity
threads
Bobbin
thread
unevenly
wound
Re-wind
bobbin
MACHINE
DOES
NOT
RUN
FREELY
AND
MAKES
A
NOISE
Machine
needs
oiiinq
Read
instructions
on
how
to
oil
Dust
and
thread
in
shuttle
Read
instructions
on
how
to
clean
shuttle
race
Wrong
oil
used,
has
now
clogged
machine
Clean
machine
carefully
and
re-oil
with
top
quality
oil
Drive
belt
tension
too
tight
Loosen
tension
of
drive
belt

Related product manuals