EasyManua.ls Logo

SMART MOD 7 - Subwoofer Levels; Non-Sync Music Inputs; Time Delay; Digital Level Settings

SMART MOD 7
18 pages
Print Icon
To Next Page IconTo Next Page
To Next Page IconTo Next Page
To Previous Page IconTo Previous Page
To Previous Page IconTo Previous Page
Loading...
MOD 7 STEREO PROCESSOR
16
Now turn ON the rear channel amplifier and turn OFF the
left wall and right wall amplifier. Select left wall surround
AND right wall surround pink noise by pushing down
switches 4 and 5 on the pink noise dip switches. Equalize
the rear channel. Then adjust the REAR output level
trimpot for 76 dBc spl in the auditorium. Restore all ampli-
fiers to the ON condition.
If you are using the OVERHEAD feature, select DIGITAL
format. Also select EX format. Select left wall surround
pink noise only. Adjust the ENV level trimpot (located on
the MOD 7 rear panel by the power connector-see picture
on page 17) to obtain 76 dBc spl in the auditorium.
Subwoofer Levels
With the SubWoofer Pink Noise channel on, adjust the sub
level trimpot (SUB) to the right on the front of the main
circuit board for 79 dBC spl from the subwoofer. The
installer may wish to adjust for another level, depending on
the amount of subwoofer desired.
Non-Sync Music Inputs
Select Music mode and turn on the music source that is
feeding the MOD 7.
Turn the left and right music level trimpots (LM and RM)
on the right front of the main board to obtain a normal
house level.
These trimpots are factory set and may not need adjust-
ment. Adjust the trimpots so that right and left music are
set to the same level. A way to accomplish this is to play a
stereo music selection with a good vocal track and adjust
either the left or right music trimpots for minimum vocals
in the surround channel.
The music is played through the matrix the same as a
soundtrack and provides 6 channel decoding from a
conventional 2-channel stereo source. This feature in the
MOD 7 presents a high impact playback in the auditorium
for pre-show entertainment. Although all 2 channel
commercial stereo recordings contain hidden “extra
channel” information due to multiple microphone record-
ing or multi-track mixdown, you will really appreciate the
effect if you purchase CD’s that have been encoded in
“Circle Surround” with 6-channel source. There are many
new recordings available with the “Circle Surround” logo
on the CD case.
Time Delay
Measure the distance in feet from the ideal seat (which is
usually 2/3 of the way back from the stage speakers,
centered side to side) to the stage speakers.
Measure the distance from the ideal seat to the nearest
surround speaker.
Subtract the two measurements.
Add 20 to this number to get the delay (in milliseconds)
required in the auditorium.
Set the rotary switch on the Circle Surround Matrix Card
(S1) to the nearest setting in milliseconds. See Page 9 for a
description of the time delay settings.
Digital Level Settings
The MOD 7 offers a digital level modifier trimpot (DIG)
that provides cut from the main FADER level when in
digital mode. In addition to externally trimming the
DIGITAL INPUT signals, the installer may use this trimpot
to fine tune the DIGITAL to Stereo-Optical sound level
matching.
Make sure that all other B-chain calibration adjustments
have been made prior to adjusting the digital levels (see
special note in the PRELIMINARY section of the B CHAIN
CALIBRATION).
Make adjustments at the output of the external digital
decoder or interlock audio tape machine (see the digital
player manufacturer’s manual for details).
Use the DIG trimpot (located on the front right side of the
main circuit board) to fine-tune the digital level relative to
the Stereo-Optical level.
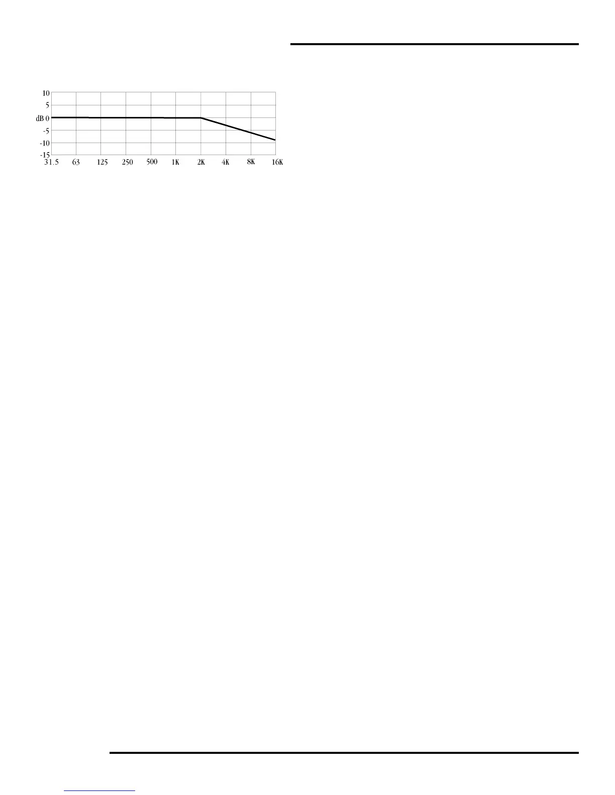
ISO Cinema Playback Standard states that octave bands
should be tuned for flat response to 2 kHz, with a 3 dB/
octave rolloff above 2 kHz.