EasyManua.ls Logo

Sony CDP-C500 - Troubleshooting Guide; No Audio or Playback Issues; Disc Playback Problems; Remote Commander Not Operating

Sony CDP-C500
15 pages
Print Icon
To Previous Page IconTo Previous Page
To Previous Page IconTo Previous Page
Loading...
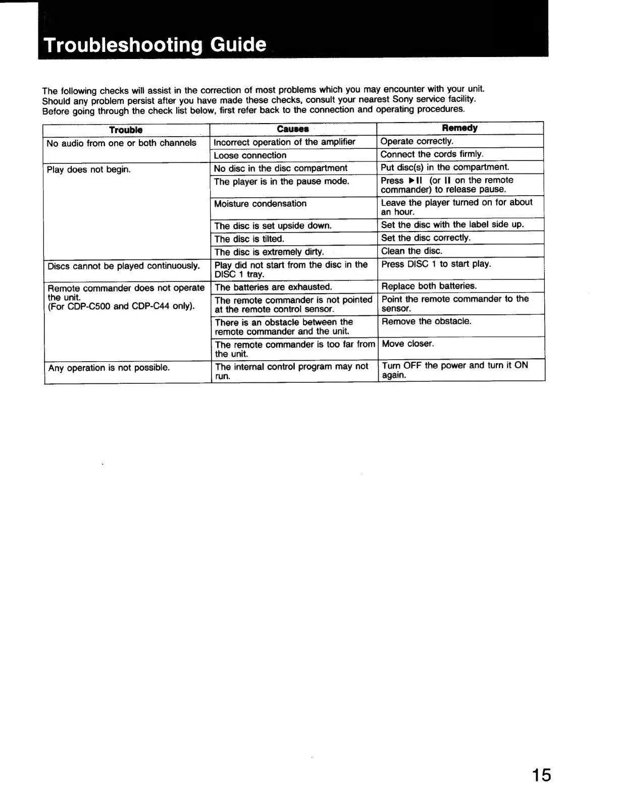
Bhcelele)(-tJareledilareMmelei(ey-
The
following
checks
will
assist
in
the
correction
of
most
problems
which
you
may
encounter
with
your
unit.
Should
any
problem
persist
after
you
have
made
these
checks,
consult
your
nearest
Sony
service
facility.
Before
going
through
the
check
list
below,
first
refer
back
to
the
connection
and
operating
procedures.
Trouble
No
audio
from
one
or
both
channels
Incorrect
operation
of
the
amplifier
Operate
correctly
Connect
the
cords
firmiy.
Play
does
not
begin.
No
disc
in
the
disc
compartment
Put
disc(s)
in
the
compartment.
The
player
is
in
the
pause
mode
Press
PII
(or
Il
on the
remote
commander)
to
release
pause.
Moisture
condensation
Leave
the
player
turned
on
for
about
an
hour.
The
disc
is
set
upside
down.
Set
the
disc
with
the
label
side
up.
The
disc
is
tilted.
Set
the
disc
correctly
The
disc
is
extremely
dirty.
Clean
the
disc.
Play
did
not
start
from
the
disc
in
the
|
Press
DISC
1
to
start
play.
DISC
1
tray.
The
batteries
are
exhausted.
Replace
both
batteries.
The
remote
commander
is
not
pointed
|
Point
the
remote
commander
to
the
at
the
remote
control
sensor.
sensor.
There
is
an
obstacle
between
the
Remove
the
obstacle.
remote
commander
and
the
unit.
The
remote
commander
is
too
far
from
|
Move
closer.
the
unit.
The
internal
control
program
may
not
|
Turn
OFF
the
power
and
turn
it
ON
run.
again.
Discs
cannot
be
played
continuously.
Remote
commander
does
not
operate
the
unit.
(For
CDP-C500
and
CDP-C44
only).
Any
operation
is
not
possible.
15

Related product manuals