EasyManua.ls Logo

Sony DXC-990 - DCC+ Process

Sony DXC-990
52 pages
Print Icon
To Next Page IconTo Next Page
To Next Page IconTo Next Page
To Previous Page IconTo Previous Page
To Previous Page IconTo Previous Page
Loading...
3. Key Features
DXC-990/990P, DXC-390/390P Sales Manual
5
Pixel
Number
Luminance Level
Pixel
Number
Luminance Level
Pixel
Number
Luminance Level
Pixel
Number
Luminance Level
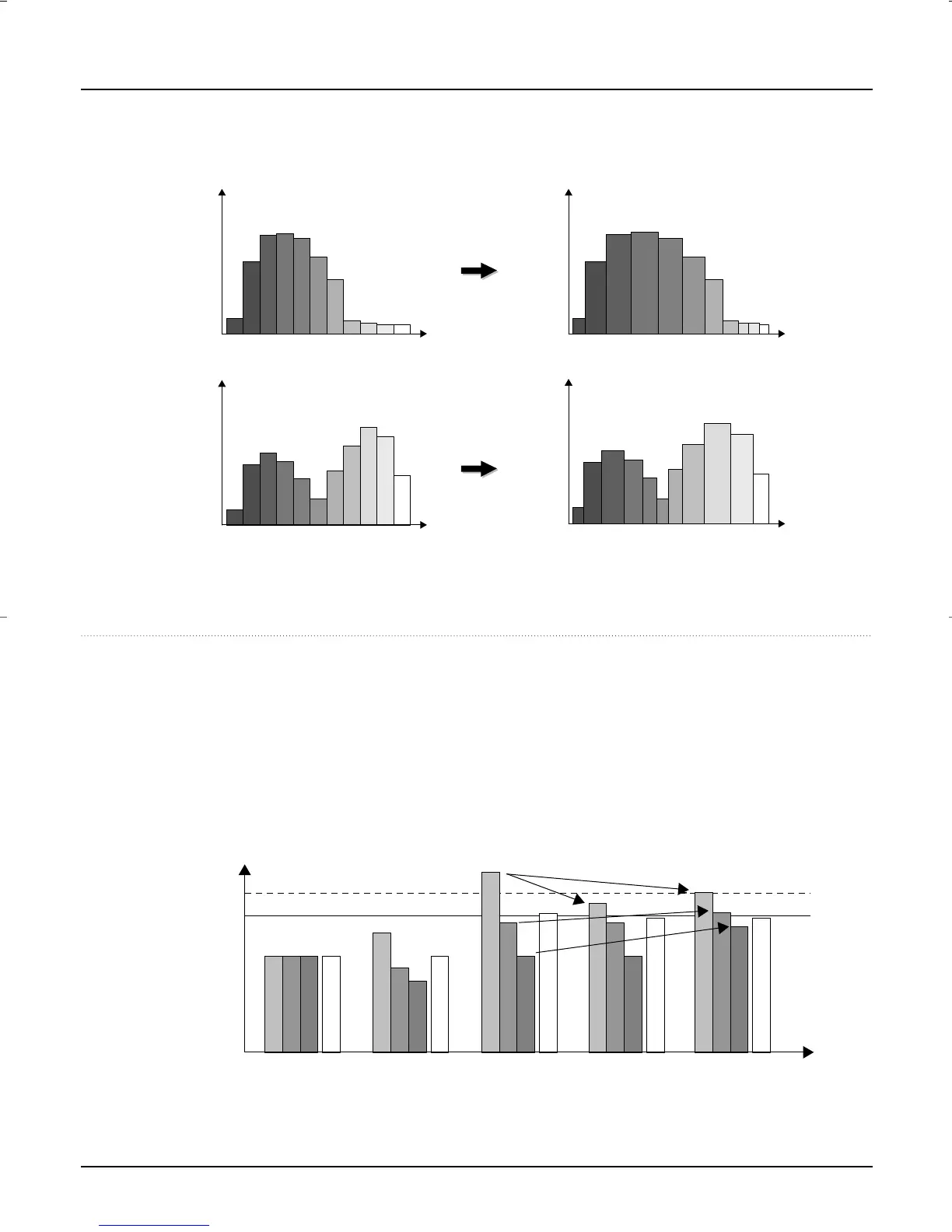
The diagrams above are based on estimations, not on actual operation.
DCC+ Process
The DCC+ (Dynamic Contrast Control Plus) manages video signal data at three levels - brightness,
hue and saturation. The result is an image with suitable knee correction and without hue distortion.
Clip Level
Knee Point
Luminance
Level
BGR W BGR BGR W BGR W
Gray Color
Skin Color
Skin Color
without Knee
Skin Color with
conventional
Knee
BGR W
Skin Color
with DCC+
W
DynaLatitude Function
DXC_990/390.qxp 01.3.2 3:46 PM Page 5

Other manuals for Sony DXC-990

Related product manuals