EasyManua.ls Logo

Sony STW-C140GI - Page 65

Sony STW-C140GI
116 pages
Print Icon
To Next Page IconTo Next Page
To Next Page IconTo Next Page
To Previous Page IconTo Previous Page
To Previous Page IconTo Previous Page
Loading...
17
ES
Instrucciones para el personal del cine
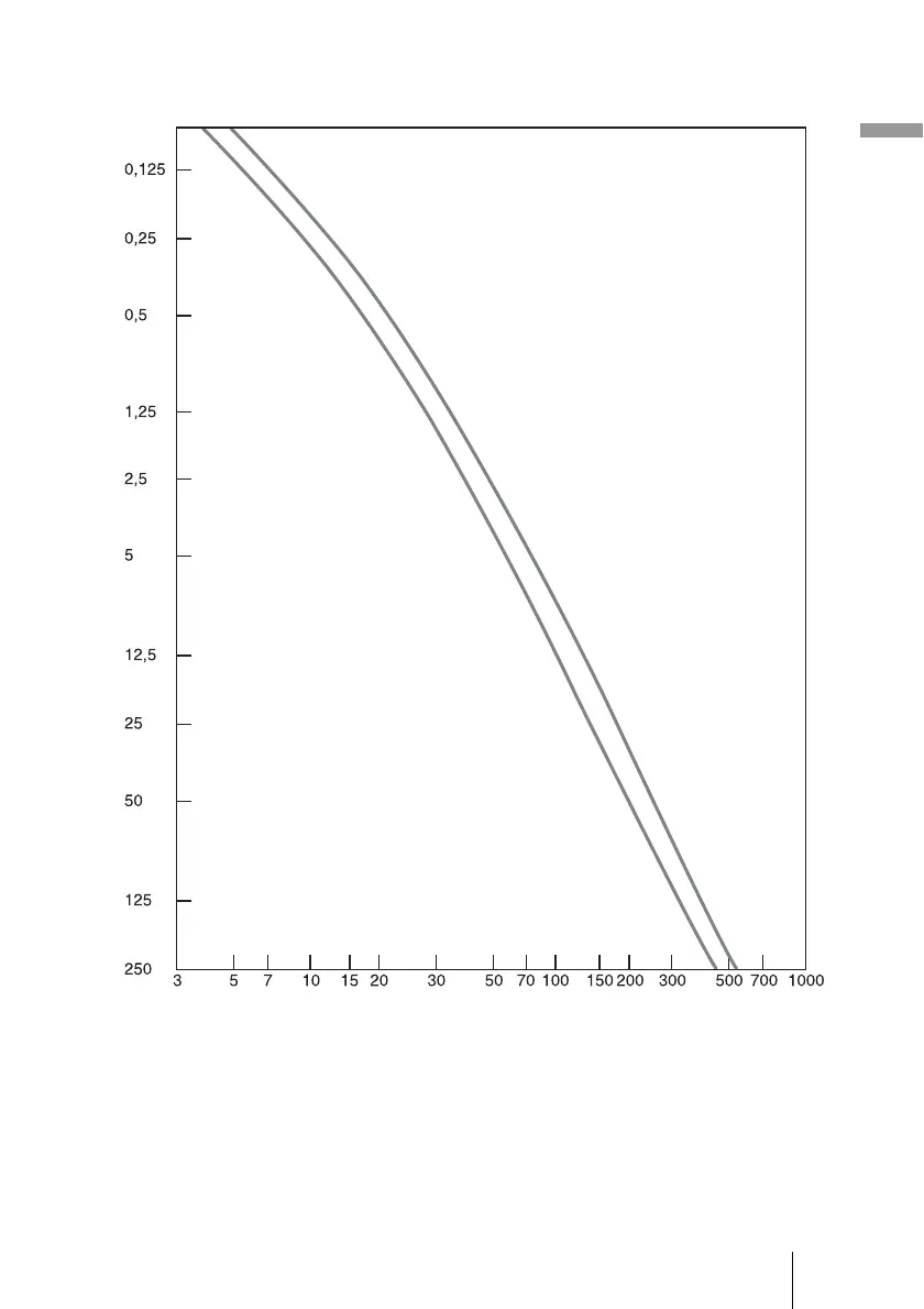
El tiempo de esterilización frente a la distancia de la lámpara para aniquilar al
99,9% de las bacterias y los virus
Distancia del centro de la lámpara (cm)
Tiempo de esterilización (mín.)
λ=253,7 nm
L
á
m
p
a
r
a
d
e
1
5
W
L
á
m
p
a
r
a
d
e
1
0
W

Table of Contents

Related product manuals