EasyManua.ls Logo

Sony STW-C140GI - Page 87

Sony STW-C140GI
116 pages
Print Icon
To Next Page IconTo Next Page
To Next Page IconTo Next Page
To Previous Page IconTo Previous Page
To Previous Page IconTo Previous Page
Loading...
17
DE
Anweisungen für die Kinomitarbeiter
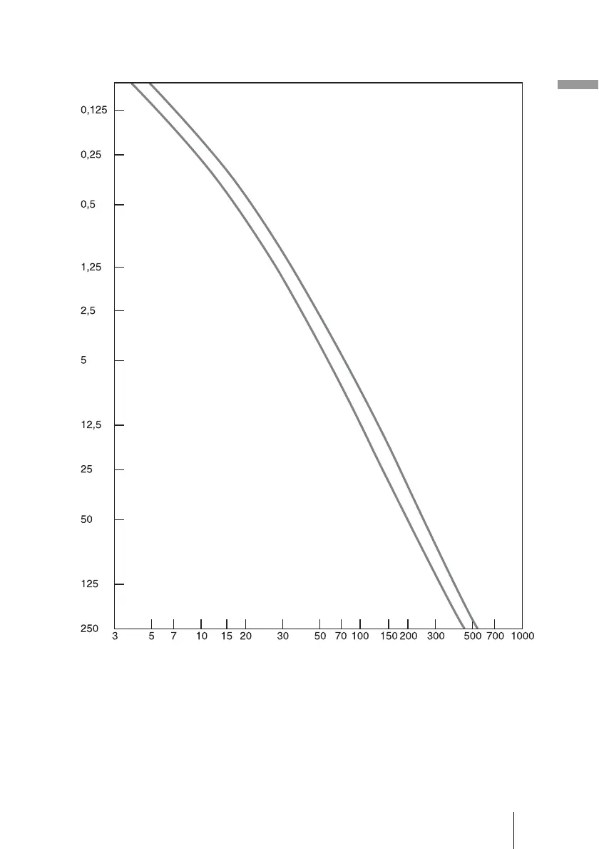
Sterilisierungszeit vs. Abstand von der Lampe zum Abtöten von 99,9 % der
Bakterien und Viren
Entfernung von der Mitte der Lampe (cm)
Sterilisierungszeit (Min.)
λ = 253,7 nm
1
5
-
W
-
L
a
m
p
e
1
0
-
W
-
L
a
m
p
e

Table of Contents

Related product manuals