EasyManua.ls Logo

Sony Trinitron PVM-20L4 - Page 32

Sony Trinitron PVM-20L4
193 pages
Print Icon
To Next Page IconTo Next Page
To Next Page IconTo Next Page
To Previous Page IconTo Previous Page
To Previous Page IconTo Previous Page
Loading...
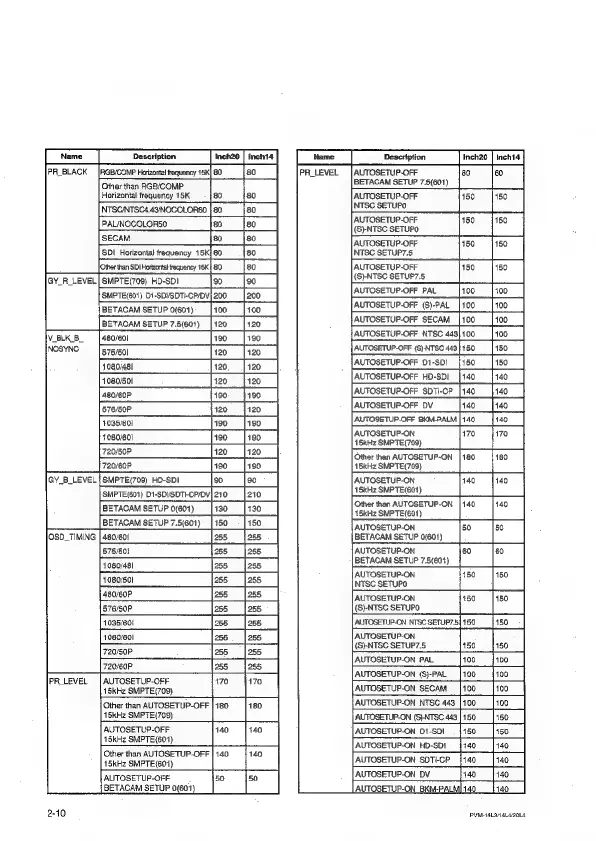
GY_R_LEVEL
RGB/COMP
Horizontal
frequency
15K]
80
Other
than
RGB/COMP
Horizontal
frequency
15K
PAL/NOCOLORS5O
BETACAM
SETUP
0(601}
|
Aids
sar
a
at
SECAM
SDI
Horizontal
frequency
15K}
80
ee
80
SMPTE(709)
HD-SDI
SMPTE(601)
D1-SDVSDTI-CP/DV]
BETACAM
SETUP
7.5(601)
GY_B_LEVEL
2-10
480/601
575/501
1080/48!
1080/S01
480/60P
576/50P
4035/60!
1080/60!
720/50P
SMPTE(708)
HD-SDI
SMPTE(601)
D1-SDV/SUT-CPDV
BETACAM
SETUP
0(601)
BETACAM
SETUP
7.5(601)
480/60!
575/501
1080/481
1080/501
480/60P
576/50P
1035/60!
1080/601
720/50P
720/60P
AUTOSETUP-OFF
15kHz
SMPTE(709)
Other
than
AUTOSETUP-OFF
45kHz
SMPTE(709)
AUTOSETUP-OFF
15kHz
SMPTE(601)
Other
than
AUTOSETUP-OFF
15kHz
SMPTE(601)
AUTOSETUP-OFF
BETACAM
SETUP
0(601)
Tene
ed
AUTOSETUP-OFF
BETACAM
SETUP
7.8(601)
Inch20
|
Inchi4
AUTOSETUP-OFF
NTSC
SETUPO
AUTOSETUP-OFF
(S)-NTSC
SETUPO
AUTOSETUP-OFF
NTSC
SETUP7.5
AUTOSETUP-OFF
{S)-NTSC
SETUP7.5
AUTOSETUP-OFF
PAL
AUTOSETUP-OFF
(S)-PAL
AUTOSETUP-OFF
SECAM
AUTOSETUP-OFF
NTSC
443}
AUTOSETUP-OFF
(S)-NTSC-443
AUTOSETUP-OFF
D1-SDI
AUTOSETUP-OFF_HD-SDI
AUTOSETUP-ON
15kHz
SMPTE(709)
AUTOSETUP-ON
15kHz
SMPTE(601)
AUTOSETUP-OFF
SDTI-CP.
AUTOSETUP-OFF
DV
Other
than
AUTOSETUP-ON
15kHz
SMPTE(601)
AUTOSETUP-ON
BETACAM
SETUP
0(601)
AUTOSETUP-ON
NTSC
SETUPO.
6
BETACAM
SETUP
7.5(601)
AUTOSETUP-ON
AUTOSETUP-ON
(S)-NTSC
SETUPO.
AUTOSETUP-ON
NTSC
SETUP7.5}
AUTOSETUP-ON
(S)-NTSC
SETUP7.5
AUTOSETUP-ON
PAL
AUTOSETUP-ON
(S)-PAL
AUTOSETUP-ON
SECAM
AUTOSETUP-ON
NTSC
443
AUTOSETUP-ON
(S}NTSC443
AUTOSETUP-ON
D1-SD!
AUTOSETUP-ON
HD-SDI
AUTOSETUP-ON
SDTI-CP.
AUTOSETUP-ON
DV
AUTOSETUP-ON_BKM-PALM|
PYM-414L3/14L4720L4

Table of Contents

Other manuals for Sony Trinitron PVM-20L4

Related product manuals