EasyManua.ls Logo

Stuart SC130 - Bin Full

Default Icon
25 pages
Print Icon
To Next Page IconTo Next Page
To Next Page IconTo Next Page
To Previous Page IconTo Previous Page
To Previous Page IconTo Previous Page
Loading...
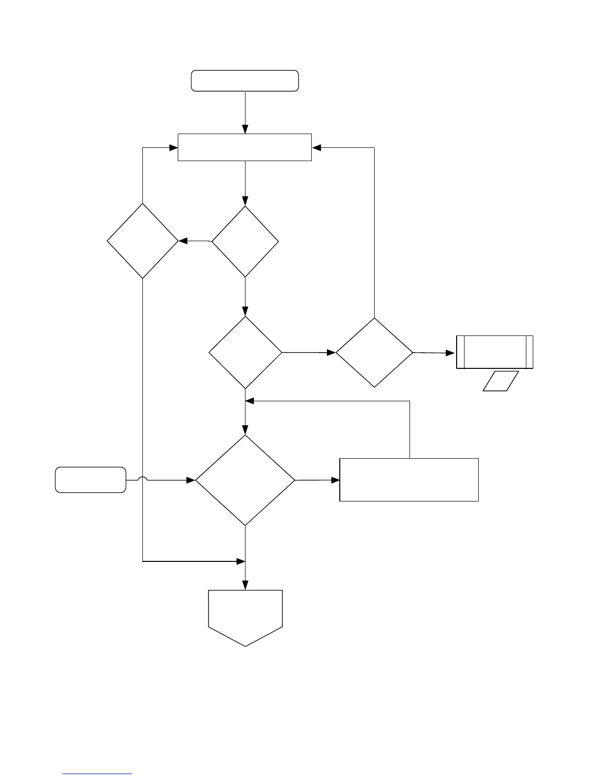
Pump
OFF
Hot - gas solenoid
ON
Bot h
flaps
operated
Defrost
Timed
out
No
No
Yes
Return
To
Mak e
ice Cycle
Yes
Did both
flaps close
after opening
Yes
Com pr es sor , Pum p, Fill
OFF
Hot Gas solenoid
On
No
Defrost
Is This
a
Manal
Defro st ?
No
Yes
Manual
But ton
Pressed?
Yes
No
Bin Full
Defrost Error
Bin Full
BIN FULL and DEFROST Processing
5
Display
See Note 7
10