EasyManua.ls Logo

Technics QUARTZ SP-15 - Page 12

Technics QUARTZ SP-15
25 pages
Print Icon
To Next Page IconTo Next Page
To Next Page IconTo Next Page
To Previous Page IconTo Previous Page
To Previous Page IconTo Previous Page
Loading...
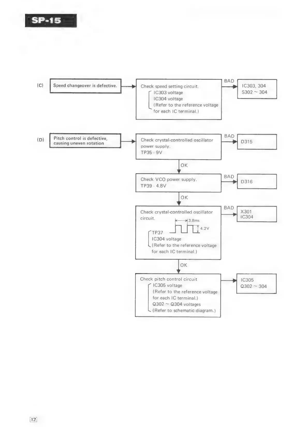
(C)
Speed
changeover
is
defective.
(D)
Pitch
control
is
defective,
causing
uneven
rotation
Check
speed
setting
circuit.
1C303,
304
1C303
voltage
$302
~
304
1C304
voltage
(Refer
to
the
reference
voltage
for
each
IC
terminal.)
BAD
Check
crystal-controlled
oscillator
power
supply.
TP35
-
9V
D315
Check
VCO
power
supply.
BAD
TP39
-
4.8V
D316
BAD
X301
Check
crystal-controlled
oscillator
1C304
circuit.
3.8ms
4.2V
TP37
ico
voltage
(Refer
to
the
reference
voltage
for
each
IC
terminal.)
Check
pitch
control
circuit
1C305
1C305
voltage
Q302
~
304
(Refer
to
the
reference
voltage
for
each
IC
terminal.)
Q302
~
Q304
voltages
(Refer
to
schematic
diagram.
)

Related product manuals