EasyManua.ls Logo

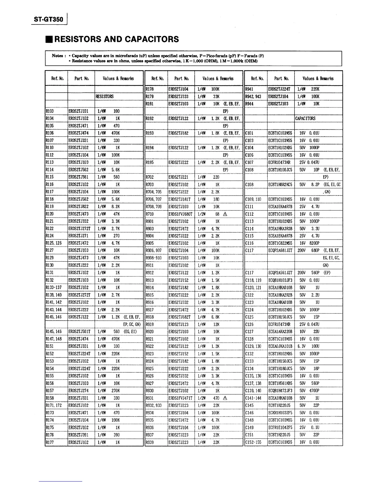
Technics ST-GT350 - Resistors and Capacitors

Technics ST-GT350
17 pages
Print Icon
To Next Page IconTo Next Page
To Next Page IconTo Next Page
To Previous Page IconTo Previous Page
To Previous Page IconTo Previous Page
Loading...

Other manuals for Technics ST-GT350

Related product manuals