EasyManua.ls Logo

Technics SU-X933 - Page 19

Technics SU-X933
23 pages
Print Icon
To Next Page IconTo Next Page
To Next Page IconTo Next Page
To Previous Page IconTo Previous Page
To Previous Page IconTo Previous Page
Loading...
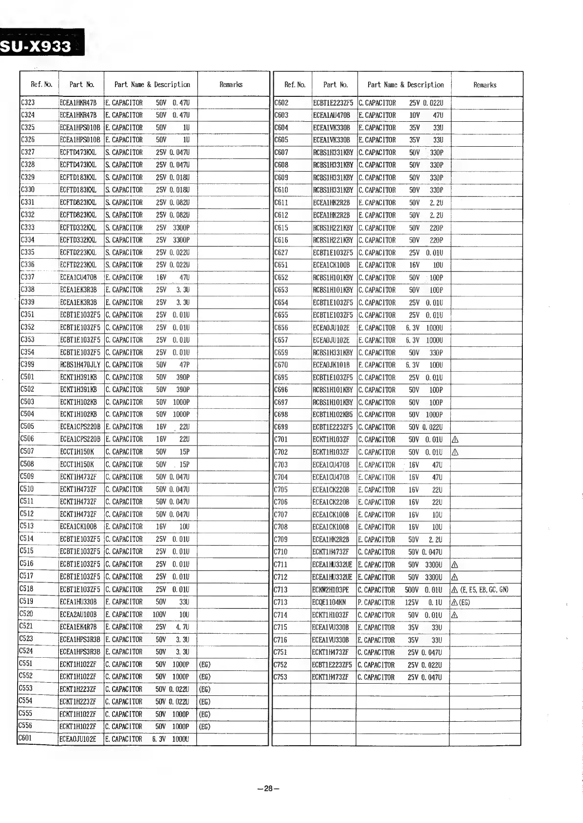
ECEA1HKR47B
E.
CAPACITOR
Part
Name
&
Description
SOY
0.47U
Remarks
ECBT1E2232ZF5
C.
CAPACITOR
Part
Name
&
Description
25V
0.
022U
41
Remarks
ECEA1HKR47B
E.
CAPACITOR
SOV
0.
47U
ECEALAU470B
iE.
CAPACITOR
10V.
47U
|ECEALHPSO10B
E.
CAPACITOR
SOV
1U
ECEA1VK330B
E.
CAPACITOR
35¥
—-33U
ECEALHPSO10B
E.
CAPACITOR
SOV
1U
ECEALVK330B
E.
CAPACITOR
35¥
—-33U
ECFTD473KXL
S.
CAPACITOR
29
0.
047U
RCBS1H331KBY
C.
CAPACITOR
S0V
=
330P
ECFTD473KXL
S.
CAPACITOR
25V
0.
047U
RCBSLH331
KBY
C.
CAPACITOR
SOV
330P
ECFTDL83KXL
S.
CAPACITOR
25V
0.
0180
RCBS1H331KBY
C.
CAPACITOR
|
SOV
330P
ECFTD183KXL
S.
CAPACITOR
29V
0.
018U
RCBS1H331KBY
C.
CAPACITOR
5ov
330P_
|
ECFTD823KXL
S.
CAPACITOR
29
0.
082U
ECEALHK2R2B
E.
CAPACITOR
SOV.
2.
2U
ECFTD823KXL,
S.
CAPACITOR
25V
0.
082U
ECEALHK2R2B
E.
CAPACITOR
SOV.
2.
2U
ECFTD332KXL
S.
CAPACITOR
25¥
3300P
RCBS1H221KBY
C.
CAPACITOR
SOV
220P
ECFTD332KXL
S.
CAPACITOR
25V
3300P
RCBS1H221KBY
C.
CAPACITOR
SOV
=
220P
ECFTD223KXL
S.
CAPACITOR
25V
0.
022U
ECBT1E1032ZF5
Jc.
CAPACITOR
25V
0.01U
ECFTD223KXL
sa
S.
CAPACITOR
25V
0.
022U
|ECEALCK100B
E.
CAPACITOR
16V
100
ECEA1CU470B
E.
CAPACITOR
16V.
0
47U
RCBS1H1O1KBY
C.
CAPACITOR
s0V
=
100P
ECEALEK3R3B
EE
CAPACITOR
25¥
3.
3U
RCBS1HIO1KBY
|
C.
CAPACITOR
SOV
L00P
lie
ECEALEK3R3B
E.
CAPACITOR
25V
3.
IU
ECBTLELO3ZP5
C.
CAPACITOR
25V_
0.
01U
ECBT1E103ZF5
C.
CAPACITOR
25V
0.
01U
C.
CAPACITOR
25V
0.010
ECBTIE103ZF5
C.
CAPACITOR
25V
0.
01U
eee:
ECEADJUIO2E
E.
CAPACITOR
6.3V
1000U
‘TECBTIE1032°5
ECBTIE103Z65
RCBSIH470JLY
ECKT1H391KB
C.
CAPACITOR
C.
CAPACITOR
25V
0.
O1U
ECEAQJU
102E
25V
0.
01U
C.
CAPACITOR
C.
CAPACITOR
ECKT1H391KB
C503
ECKTIH1O2KB
|C.CAPACITOR
SOV
1000P
ECKT1H102KB
C.
CAPACITOR
C.
CAPACITOR
TECEAICPS220B
ECEAICPS220B
ECCTIHISOK
ECCTINISOK
E.
CAPACITOR
E.
CAPACITOR
C.
CAPACITOR
C.
CAPACITOR
|ecKr
14732
C.
CAPACITOR
SOV.
47P
SOV
390P
SOV
390P
Sov
1000P
16V.
0
22U
16V.
22U
Sov.
15P
SOV.
=
-15P
SOV
0.
047U
RCBS1H331KBY
E.
CAPACITOR
6.3V
1000U
4
C.
CAPACITOR
SOV
330P
ECEAOJK101B
ECBT1E103ZF5
RCBS1H1O1KBY
RCBSIHLO1KBY
ECBT1H102KB5
ECBT1E2232F5
ECKT1H1032F
E.
CAPACITOR
€.
CAPACITOR
C.
CAPACITOR
C.
CAPACITOR
C.
CAPACITOR
C.
CAPACITOR
6.3V¥
1L00U
25V¥
0.
01U
30V.
100P
s0¥.
100P
SOV
0.
022U
s0V
0.
01U
C.CAPACITOR
SOV
1000P
4
ECKTIH1032F
|C.CAPACITOR
S50V
0.01U
|A
E.
CAPAC
ITOR
47U
47U
ECEAICU470B
jE.CAPACITOR
=
16V
16V
ECKT1H473ZF
C.
CAPACITOR
SOV
0.
047U
TE.
CAPACITOR
16V-22U
[ECKT1N4732F
C.
CAPACITOR
SOV
0.
047U
E.
CAPAC
[TOR
16V—22U
ECKT
1H4732F
C.
CAPACITOR
SOV
0.
047U
E.
CAPACITOR
16¥
10
E.
CAPACITOR
16V.
1
0U
E.
CAPACITOR
16¥—10U
ECEAICK1O0B
ECBT1E103ZF5
C.
CAPACITOR
25V
0.
010
E.
CAPACITOR
SOV.
2.
2U
TECBTIE1032F5
C.
CAPACITOR
25V
0.
01U
C.
CAPACITOR
SOV
0.
047U
ECBTIE103ZF5
C.
CAPACITOR
25V
0.01U
E.
CAPACITOR
s0¥
3300U
4
ECBT1E103ZF6
C.
CAPACITOR
25V
0.010
S0V
3300U
A
ECBT1E103ZF5
C.
CAPACITOR
25¥
0.010
ECKW2H103PE
E.
CAPACITOR
C.
CAPACITOR
s00V
0.
010
A\
(E,
E5,
EB,
GC,
GN)
ECEA1HU330B
E.
CAPACITOR
SOV.
33U
ECQE1104KN
P.
CAPACITOR
125V
0.
1U
A\
(EG)
ECEA2AU100B
E.
CAPACITOR
100V.
=
10U
ECKTLH1032ZF
C.
CAPACITOR
30V
0.
01U
A
ECEALEKAR7B
E.
CAPACITOR
25V.
4.
7U
ECEALW330B
E.
CAPACITOR
35V-33U
\ECEALHPS3R3B
E.
CAPACITOR
SOV.
3.
3U
ECEA1WU330B
E.
CAPACITOR
35¥
—-33U
TECEALHPS3R3B
E.
CAPACITOR
SOV.
3.
3U
+
ECKT1H4732ZF
C.
CAPACITOR
25V
0.
0470
ECKT1H1022F
C.
CAPACITOR
SOV
1000P
(EG)
ECBT1E223ZF5
C.
CAPACITOR
25V
0.
022U
ECKT1H1022ZF
C.
CAPACITOR
SOV
1000P
(EG)
C.
CAPACITOR
25¥
0.
047U
ECKT1H2232ZF
C.
CAPACITOR
SOV
0.
022U
(EG)
TECKT
1H2232F
C.
CAPACITOR
ECKT1H1022F
ECKT1H1022F
C.
CAPACITOR
SOV
0.022U
|
(EG)
50V
1000P
|
(EG)
C.
CAPACITOR
50V
1000P
(EG)
ECEAQJULO2E
E.
CAPACITOR
6.
3V
1000U

Related product manuals