EasyManua.ls Logo

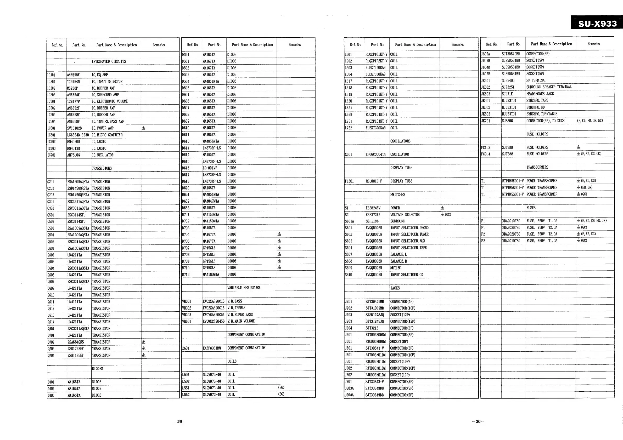
Technics SU-X933 - Integrated Circuits, Transistors, Diodes; Other Components (Oscillators, Switches, Jacks, Fuses)

Technics SU-X933
23 pages
Print Icon
To Next Page IconTo Next Page
To Next Page IconTo Next Page
To Previous Page IconTo Previous Page
To Previous Page IconTo Previous Page
Loading...
Part
No.
Part
Name
&
Description
Part
No.
Part
Name
&
Description
Remarks
DIODE
RLQZPLOIKT-Y
{COIL
SJT30549BB
[CONNECTOR
(5P)
INTEGRATED
CIRCUITS
TpiOve
RLQZPIROKT-Y
[COIL
SJS50581BB
|
SOCKET
(5P)
it
ELEXT330KA9
COIL
;
SJS50581BB
|
SOCKET
(5P)
ANGSS8F
IC,
EQ
ANP
MAIG5TA
{DIODE
ELEXT330KA9
[COIL
SJS50581BB
|
SOCKET
(SP)
TC9164N
TC,
INPUT
SELECTOR
MA4O5IMTA
[DIODE
YRLOZPLOIKT-Y
[COIL
;
's3r5406
‘(SP
TERMINAL
M5238
IC,
BUFFER
AMP
MAL65TA
DIODE
~|RLQZPIOIKT-Y
[COIL
[SiF3251
[SURROUND
SPEAKER
TERMINAL
~TANGSS4F
IC,
SURROUND
AMP
(waiesTa
(DIODE
RLQZPIOIKT-Y
{COIL
SJJTIE
HEADPHONES
JACK
yresi77P
_‘|1C,
ELECTRONIC
VOLUME
MALGSTA
{DIODE
RLQZPIOIKT-Y
{COIL
RJJ33701
SYNCHRO,
TAPE
YAN6552F
TC,
BUFFER
ANP
|
MALGSTA
[DIODE
RLOZPIOIKT-Y
|coIL
RJJ33T01
__[SYNCHRO,
CD
ANGS58F
TC,
BUFFER
AMP
MALGSTA
[DIODE
RLQZPLOIKT-Y
|COIL
RJJ33T01
[svc
TURNTABLE
ANGSS8F
IC,
TONE/S.
BASS
AMP
MalesTa
[DIODE
RLQZPLOIKT-Y
{COIL
$JS306
CONNECTOR
(3P),
TO
DECK
(E,
E5,
EB,
GN,
GC)
‘Tsviai028
|IC,
POWER
AMP
MAIGSTA
|
DIODE
ELEXT330KA9
[COIL
1L.06554D-3230
|1C,
MICRO
COMPUTER
MAIG5TA
[DIODE
TFUSE
HOLDERS
¥N4030B
‘|IC,
LOGIC
MAAOS6MTA
[DIODE
OSCILLATORS
|
WN4013B
IC,
LOGIC
LNB73RP-LS
|DIODE
FUSE
HOLDERS
A
ANTBLO6
IC,
REGULATOR
MAL65TA
[DIODE
TeFocc300474
[OSCILLATOR
FUSE
HOLDERS
TAC.
ES,
EG,
0)
[Dione
T
TRANSISTORS
DIODE
DISPLAY
TUBE
TRANSFORMERS
|
DIODE
2SA1309AQSTA
|
TRANSISTOR
RSLOOL3-F
[DISPLAY
TUBE
RTPIMSEOO1-V
[POWER
TRANSFORMER
2SD14500RSTA
|
TRANSISTOR
RIPIMSBOO1-V
|POWER
TRANSFORMER
2SD14500RSTA
|
TRANSISTOR
SWITCHES
1
——_—|RTPAMSGO01-V
[POHER
TRANSFORMER
A\(66)
28C3311AQSTA
|
TRANSISTOR
28C3311AQSTA
|
TRANSISTOR
ESB8249V
POWER
2SC3114STU
|
TRANSISTOR
ESE37263
VOLTAGE
SELECTOR
ioe
fascias
fest
sicia__ssiiee
[Su
2SAL309AQSTA
{TRANSISTOR
MALG5TA
EVQQBOOSR
—_|
INPUT
SELECTOER,
PHONO
2SAL309AQSTA
|
TRANSISTOR
MALG7TA
EVQQBOOSR
[INPUT
SELECTOER,
TUNER
F2
XBA2C207BO
|FUSE,
250V
12.
0A
ANCE,
E5,
EG)
2SC3311AQSTA
|
TRANSISTOR
MA167TA
XBAZC10TBO
FUSE,
250V
TI.
0A
2SA1309AQSTA
|
TRANSISTOR
$604
EVQQBOOSR
|
INPUT
SELECTOER,
TAPE
UN4211TA
__
|
TRANSISTOR
[EvQQBOOSR
BALANCE,
L
UN4211TA
_
[TRANSISTOR
"[28C331.1AQSTA
[TRANSISTOR
UN4211TA
__|
TRANSISTOR
DIODE
=e
2SC3311AQSTA
|
TRANSISTOR
calf
UN4211TA
|
TRANSISTOR
VARIABLE.
RESISTORS
TRANSISTOR
i
V.R,
BASS
CONNECTOR
(4P)
V.R,
TREBLE
CONNECTOR
(10P)
SOCKET
(12P)
CONNECTOR
(12P)
CONNECTOR
(2P)
RJTOO3KOO8M
|
CONNECTOR
(8P)
RJUOO3KO08M
|
SOCKET
(8P)
SJT30543-V
[CONNECTOR
(SP)
MALGSTA
|MAI6STA
CONNECTOR
(5P)
MALGSTA
CONNECTOR
(5P)
—29-
—30—

Related product manuals