EasyManua.ls Logo

Telemark TVP-2000 - Page 66

Default Icon
81 pages
Print Icon
To Next Page IconTo Next Page
To Next Page IconTo Next Page
To Previous Page IconTo Previous Page
To Previous Page IconTo Previous Page
Loading...
Page 66 of 66
TVP Manual (full) March 2007 CE rev 03.doc
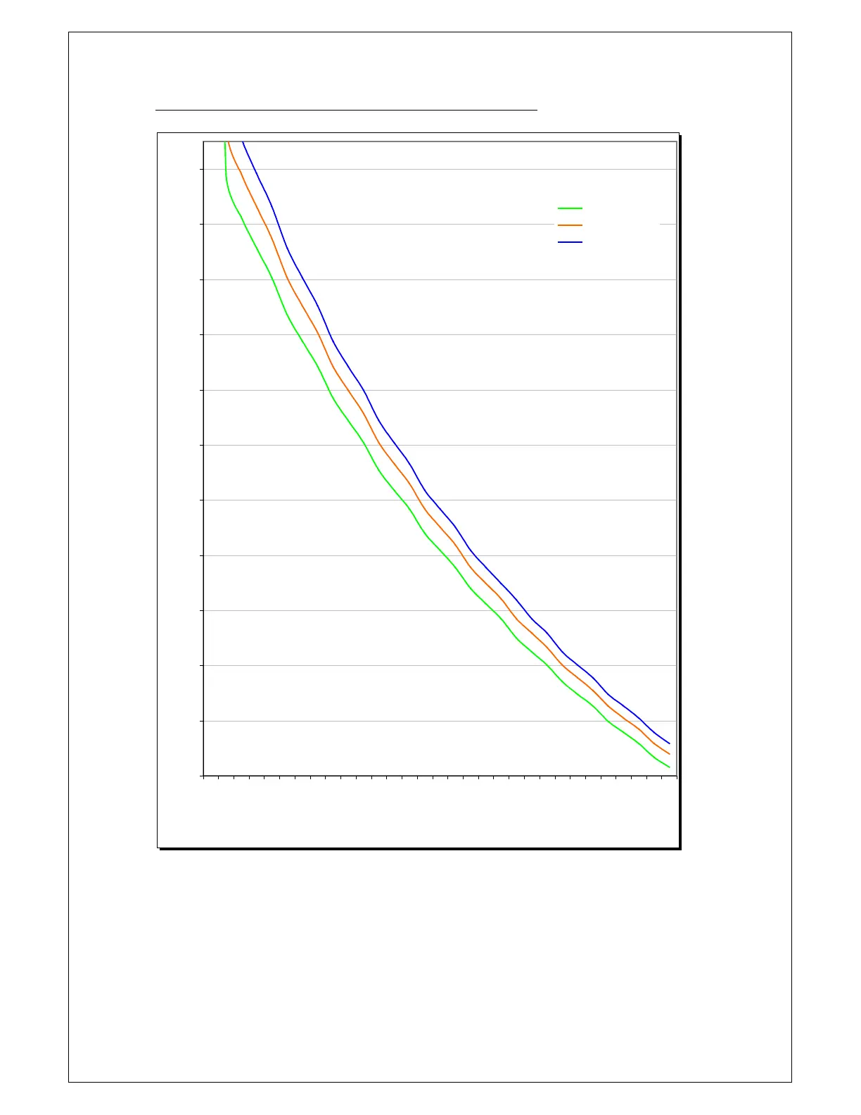
Partial pressure of water vs. Temperature and pumping efficiency
-150
-140
-130
-120
-110
-100
-90
-80
-70
-60
-50
-40
6.7E+00
1.3E+00
2.7E-01
6.7E-02
1.3E-02
2.7E-03
6.7E-04
1.3E-04
2.7E-05
6.7E-06
1.3E-06
2.7E-07
6.7E-08
1.3E-08
2.7E-09
mbar
T oC
98% efficiency
95% efficiency
90% efficiency
Diagram 23 Pumping efficiency of H
2
O at partial pressure (mbar) vs. Temperature
o
C