EasyManua.ls Logo

Telrad BreezeCOMPACT 1000 - Show Results

Telrad BreezeCOMPACT 1000
99 pages
Print Icon
To Next Page IconTo Next Page
To Next Page IconTo Next Page
To Previous Page IconTo Previous Page
To Previous Page IconTo Previous Page
Loading...
Chapter 3 - Operation and AdministrationSpectrum Analyzer
Chapter 3: Operation and Administration
Spectrum Analyzer
. . . . . . . . . . . . . . . . . . . . . . . . . . . . . . . . . . . . . . . . . . . . . . . . . . . . . . . .
BreezeCOMPACT System ManualBreezeCOMPACT System Manual
98
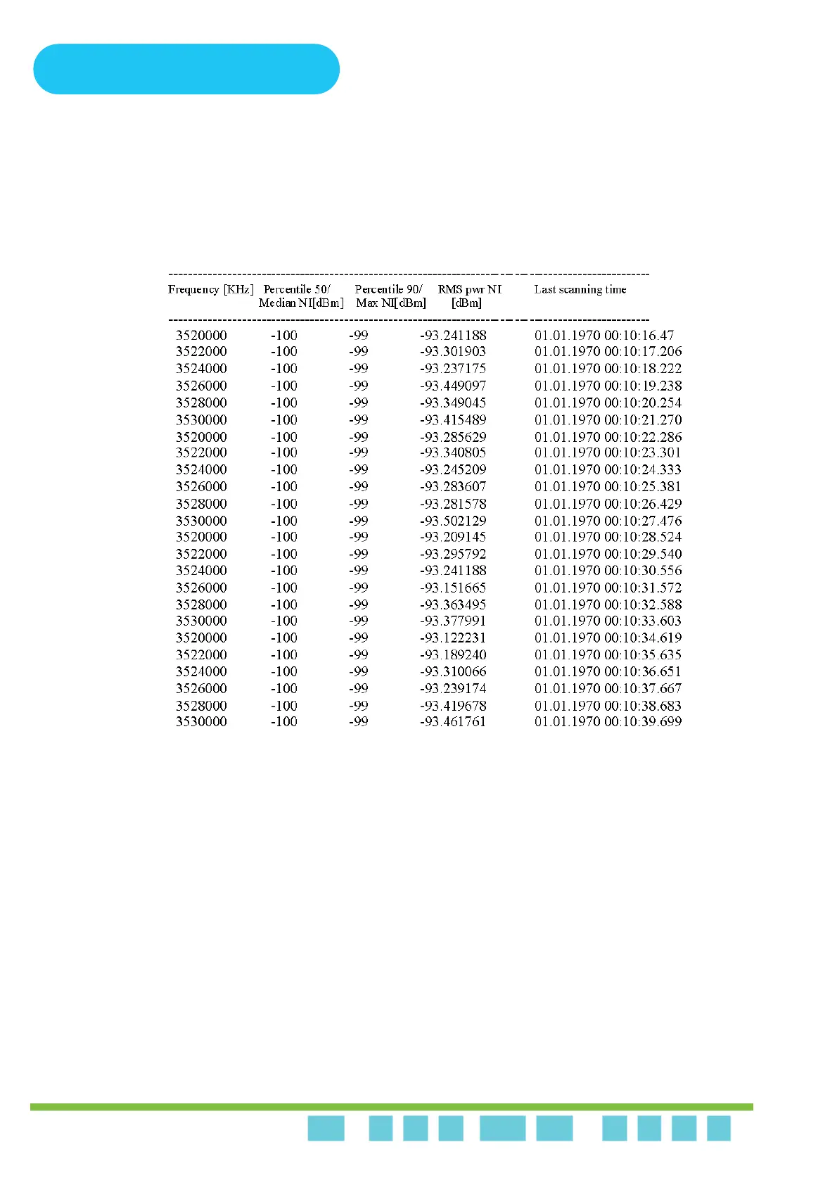
3.11.6 Show Results
This parameter shows the sort method to be used for displaying results. Select 0 for by Freq or 1 for by NI level.
The following figure shows a results example for the Spectrum Analyzer.
Figure 11: Spectrum Analyzer Results

Table of Contents

Related product manuals