EasyManua.ls Logo

Valleylab Force 2-8 PCH - Page 55

Valleylab Force 2-8 PCH
58 pages
Print Icon
To Next Page IconTo Next Page
To Next Page IconTo Next Page
To Previous Page IconTo Previous Page
To Previous Page IconTo Previous Page
Loading...
Classification
Force 2 User’s Guide A-9
Technical Specifications
Bipolar measurements are made using bipolar forceps on the insulating
surface referred to in IEC 60601-2-2, Figure 104.
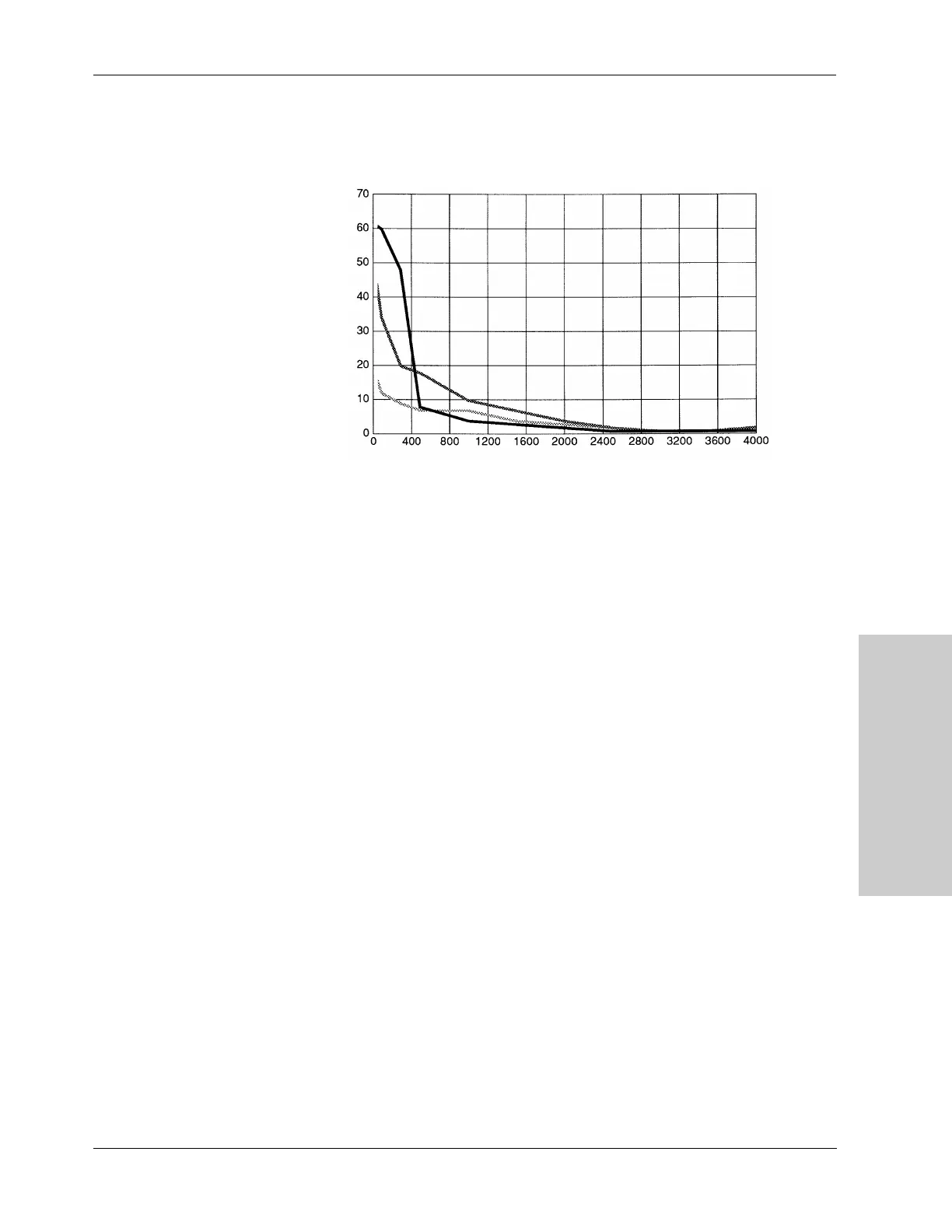
PCH Generator Typical Output Power
vs Load—Bipolar Mode
Bipolar
Generator
Power
Setting
Output Power (watts)
Impedance (ohms)
70 W
35 W
15 W

Table of Contents

Other manuals for Valleylab Force 2-8 PCH

Related product manuals