EasyManua.ls Logo

VEB BERLIN SR59 - Page 15

Default Icon
80 pages
Print Icon
To Next Page IconTo Next Page
To Next Page IconTo Next Page
To Previous Page IconTo Previous Page
To Previous Page IconTo Previous Page
Loading...
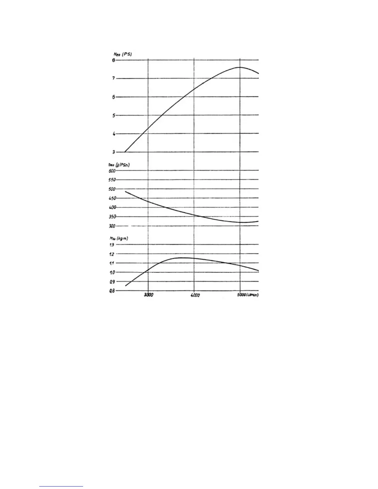
Image 4. Power curve chart