EasyManua.ls Logo

WEST P8700 - Page 136

WEST P8700
159 pages
Print Icon
To Next Page IconTo Next Page
To Next Page IconTo Next Page
To Previous Page IconTo Previous Page
To Previous Page IconTo Previous Page
Loading...
1
/
4
-DIN,
1
/
8
-DIN &
1
/
16
- DIN Controllers & Indicators - Product Manual
59305, Issue 5 – March 2005 Glossary Page 117
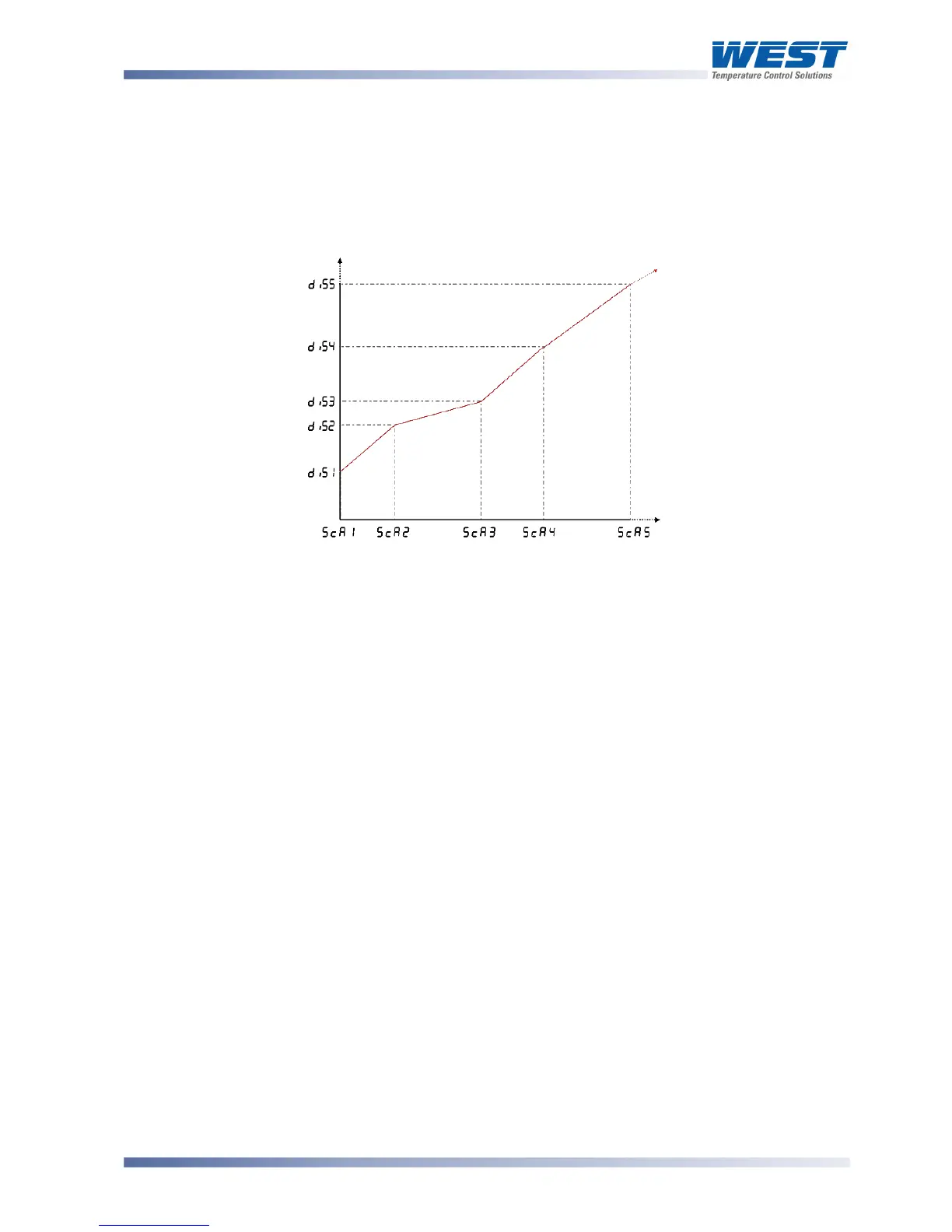
Multi-Point Scaling Set Up Type: Indicator Parameter
For each breakpoint, the input scale value (:?5n) is entered as a percentage of the input
span, followed by the value to be shown (D<:n) in display units, for this input value.
Each breakpoint’s input scale value must be higher than the previous value, but the display
values can be either higher or lower. This procedure is repeated for up to nine breakpoints,
but if any scale value is set to 100% if automatically becomes the last in the series.
Also refer to Indicator, Multipoint Scaling Enable and Process Variable.
Offset Type: Controller Parameter
Offset is used to modify the measured process variable value and is adjustable in the range
±input span. Use this parameter to compensate for errors in the displayed process variable.
Positive values are added to the process variable reading, negative values are subtracted.
This parameter is in effect, a calibration adjustment; it MUST be used with care. Injudicious
use could lead to the displayed value bearing no meaningful relationship to the actual
process variable. There is no front panel indication of when this parameter is in use.
Display value =
,&&:, default value = 0.
Also refer to Input Span, Process Variable and Tare.
On-Off Control Type: Controller Definition
When operating in On-Off control, the output(s) will turn on or off as the process variable
crosses the setpoint in a manner similar to a central heating thermostat. Some oscillation of
the process variable is inevitable when using On-Off control.
On-Off control can be implemented only with Time Proportioning Control (Relay, Triac or
SSR driver output), by setting the corresponding proportional band(s) to zero. On-Off
operation can be assigned to the Primary output alone (secondary output not present),
Primary and Secondary outputs or Secondary output only (with the primary Output set for
time proportional or current proportional control).
Also refer to Differential, PID, Process Variable, Primary Proportional Band, Secondary
Proportional Band, Setpoint and Time Proportioning Control.
On-Off Differential (Hysteresis)
Type: Controller Parameter
- Refer to Differential.
Displayed Value
% of Span

Table of Contents

Related product manuals