EasyManua.ls Logo

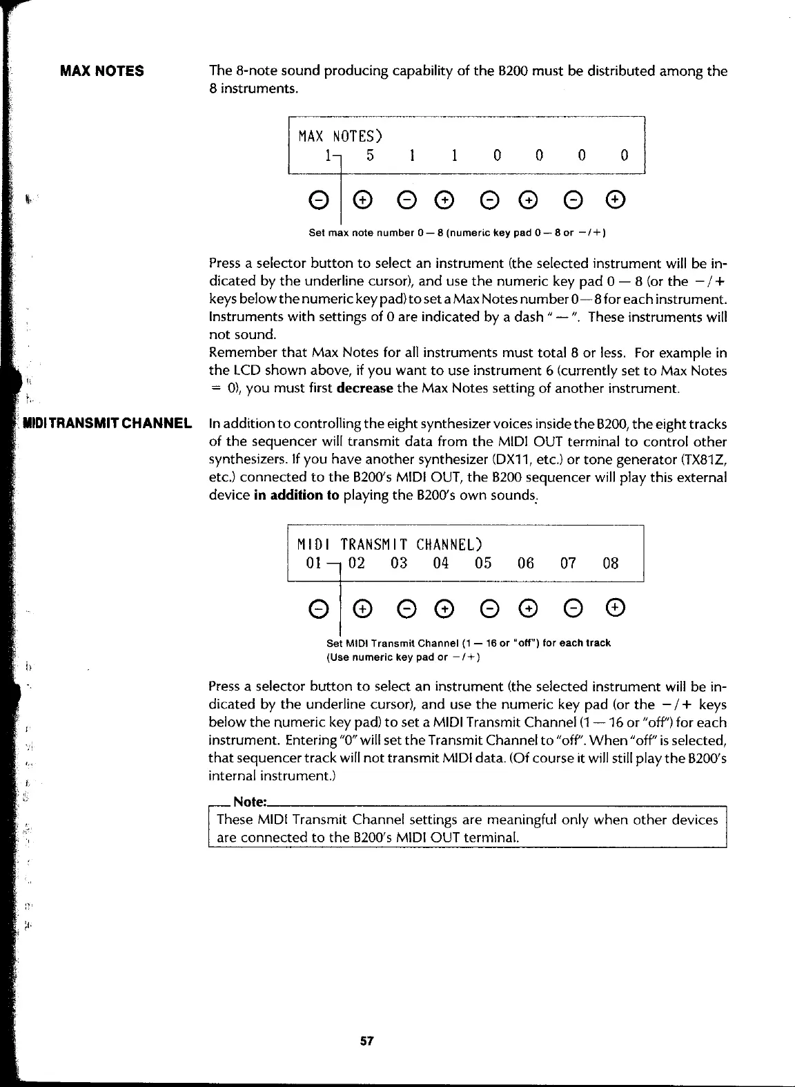
Yamaha B200 - Max Notes; MIDI Transmit Channel

Yamaha B200
58 pages
Print Icon
To Previous Page IconTo Previous Page
To Previous Page IconTo Previous Page
Loading...

Table of Contents

Other manuals for Yamaha B200

Related product manuals