EasyManua.ls Logo

Yellowtec PUC2 Series - Page 14

Yellowtec PUC2 Series
Print Icon
To Next Page IconTo Next Page
To Next Page IconTo Next Page
To Previous Page IconTo Previous Page
To Previous Page IconTo Previous Page
Loading...
14
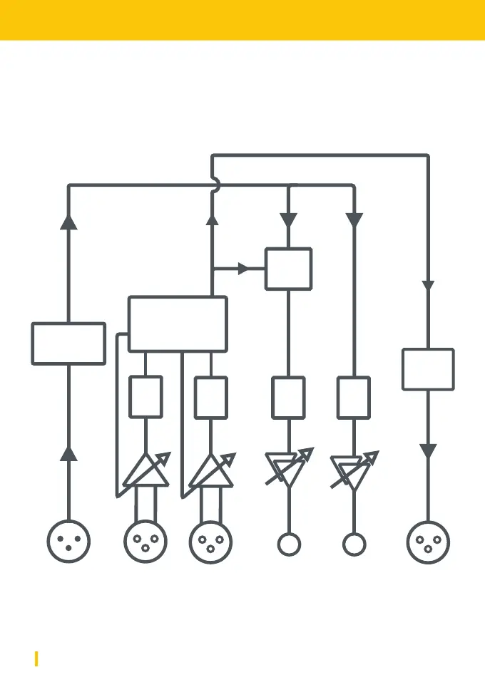
Blockschaltbild PUC2 Mic LEA
Dieses Blockschaltbild vom PUC2 Mic LEA im Stand-Alone (non USB) Modus
gibt dir eine Übersicht über die internen Systeme.
Bitte beachte, dass der Digital In und der Digital Out hier gespiegelt sind.
LEA Engine
Level Enhanced
Automation
A/D
Conv
monitor
mix
1 2
Speaker Out
H/P Out
Mic Inputs
Analog Outputs
DAC DAC
A/D
Conv
AES3
Input
Decoder
AES3
Digital In
AES3
Output
Decoder
AES3/SPDIF
Digital Out

Related product manuals