EasyManua.ls Logo

Yellowtec PUC2 Series - Page 29

Yellowtec PUC2 Series
Print Icon
To Next Page IconTo Next Page
To Next Page IconTo Next Page
To Previous Page IconTo Previous Page
To Previous Page IconTo Previous Page
Loading...
29
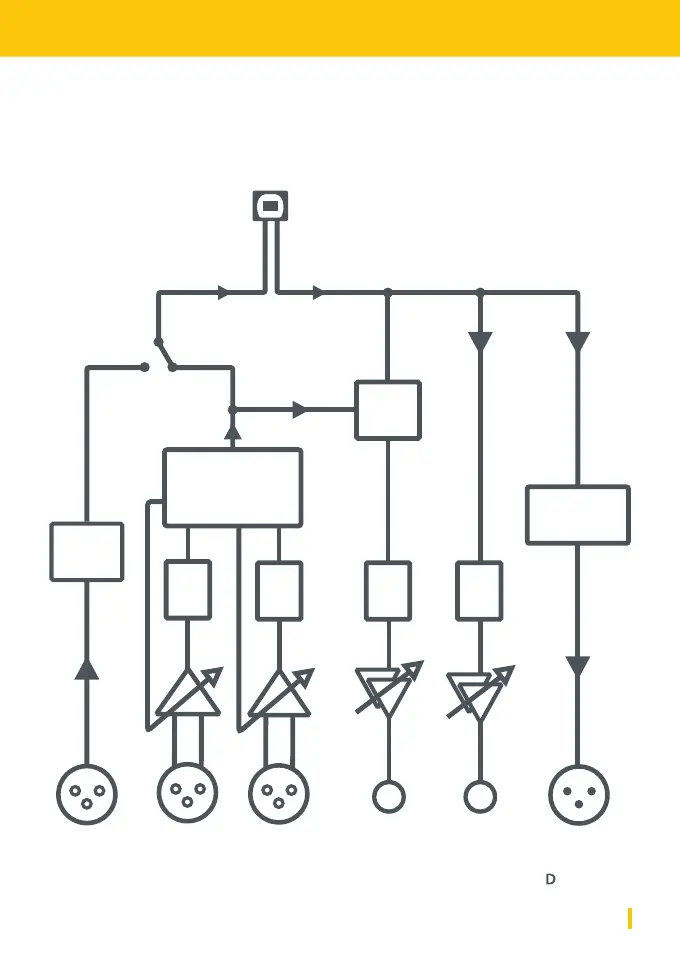
Block Diagram PUC2 Mic LEA
This PUC2 Mic LEA block diagram gives a detailed overview of PUC2 Mic LEAs
internals in PC/USB Mode.
USB
Auto
AES3
Input
Decoder
LEA Engine
Level Enhanced
Automation
AES3
Output
Decoder
A/D
Conv
monitor
mix
1 2
Speaker Out
AES3/SPDIF
AES3
H/P Out
Mic Inputs
Digital In
Analog OutputsD igital Out
DAC DAC
A/D
Conv

Related product manuals