EasyManua.ls Logo

Zipro Pacemaker - Page 33

Zipro Pacemaker
Print Icon
To Next Page IconTo Next Page
To Next Page IconTo Next Page
To Previous Page IconTo Previous Page
To Previous Page IconTo Previous Page
Loading...
33
EN
TRAINING AND PHASES
The use of the device is very beneficial. It will improve your physical condition, strengthen your muscles,
and when combined with the right diet, it will help burn excess fat tissue.
1. WARM-UP
This phase improves blood circulation in the whole body and prepares the muscles for intensive work.
It reduces the risk of cramps and injuries. It is advisable to do some stretching exercises as shown below.
If you feel pain, stop exercising or reduce the extent of the move.
STRETCHING EXERCISES:
STRETCHING INNER THIGH MUSCLES
Sit on a flat surface with your legs bent and knees pointing outwards. Put feet soles together and get
them as close to you as possible. Slightly push the knees downwards and hold for 15 seconds.
THIGH STRETCHING
Sit on a flat surface. Straighten the right leg and press the sole of the left foot against the tight.
Stretch your right arm towards the toes of the right leg as far as possible. Hold for 15 seconds.
Repeat for the left leg.
HEAD SIDE-TO-SIDE
Keep your head straight looking forwards. Keep your shoulders still, and rotate the head right.
Return your head so that you are looking straight. Next, rotate it left and back to the starting point.
SHOULDERS UP-AND-DOWN
Lift the left hand as high as possible and hold for a few seconds. Repeat for the right hand.
ACHILLES TENDON STRETCHING
Stand facing a wall. Extend the left foot forward and bend the knee a little. Keep your right leg
straight and back, with the heel on the ground. Keep both heels flat on the ground and push your
hips towards the wall. Hold for 30 seconds. Repeat with the right leg extended. Remember not to
arch your back during the exercise.
BENDS
Stand up with your legs together. Bend forwards trying to get your chest as close to the knees as
possible. Hold for 15 seconds. Remember not to bend the knees.
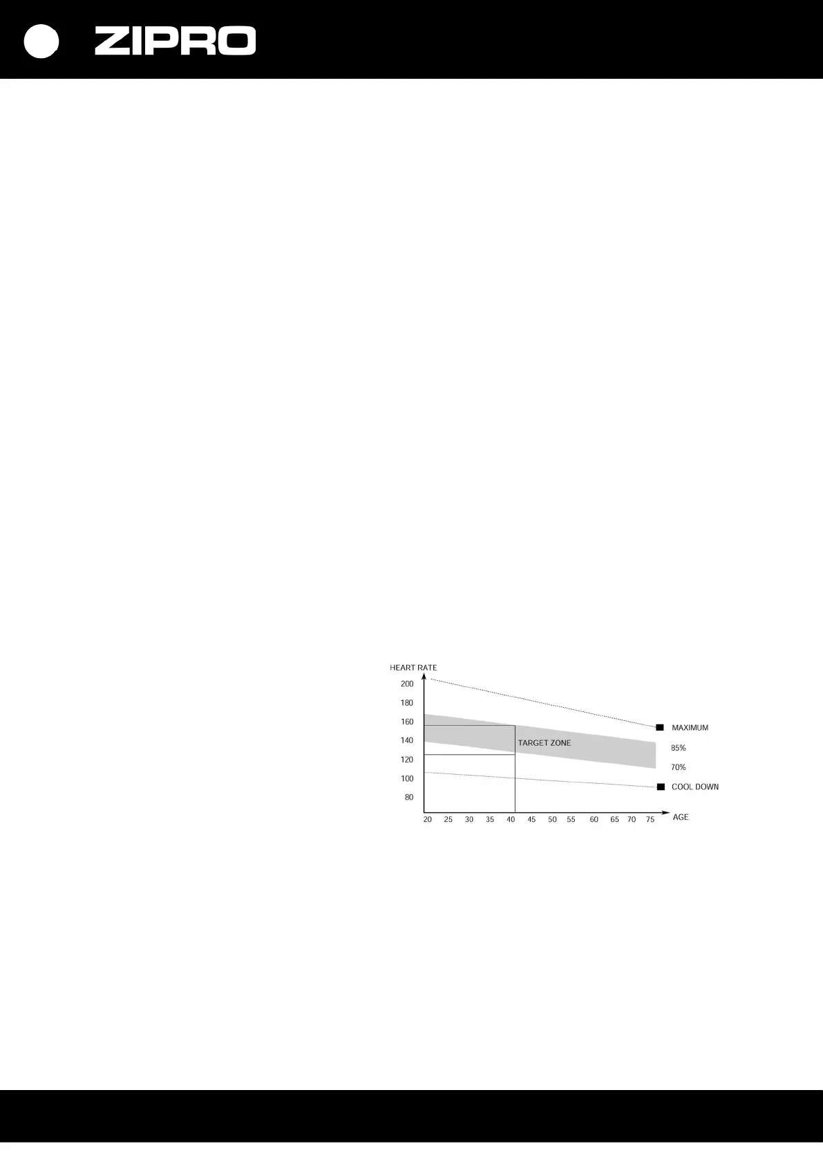
2. EXERCISE PHASE
This is the exercise proper. Maintain your own
pace to reach the heart rate appropriate for
your age as shown in the chart below.
3. RELAXATION PHASE
This phase helps steady the circulation and relax the muscles. It is identical to the warm-up phase.
Remember not to strain your muscles.

Related product manuals