EasyManua.ls Logo

Zipro Wave White - Page 146

Zipro Wave White
Print Icon
To Next Page IconTo Next Page
To Next Page IconTo Next Page
To Previous Page IconTo Previous Page
To Previous Page IconTo Previous Page
Loading...
146
ES
Configurar el valor para cuenta ats, usando botones UP o DOWN.
La cuenta atrás empezará, al pulsar botón START.
PARÁMETROS A CONTAR
TIEMPO: El ordenador permite ajustar el tiempo entre 1-99 minutos (cada 1 minuto).
CALORÍAS: El ordenador permite ajustar calorías entre 20-990 kcal (cada 10 kcal).
DISTANCIA: El ordenador permite ajustar la distancia ente 1,0-99,9 km (cada 0,1 km).
CONEXIÓN BLUETOOTH CON APLICACIÓN MÓVIL
El ordenador es compatible con la aplicación IConsole+ Training, ZWIFT APP.
Inicia el entrenamiento y disfruta de nuevas posibilidades:
Descarga la aplicación.
Conecta Bluetooth en tu dispositivo móvil.
Activa la aplicación y elige el dispositivo ZIPRO que deseas conectar.
Una vez que ZIPRO se conecte con la aplicación, el ordenador se desconecta y la pantalla apaga. Desde ahora, administrarás ZIPRO desde el
dispositivo móvil.
ENTRENAMIENTO Y ETAPAS DE EJERCICIOS
El uso de este dispositivo resultará muy ventajoso para ti. Ante todo,
mejorará tu estado físico, reforzará los músculos y permitirá quemar el
exceso de grasa, si implementas también una dieta adecuada.
1. PRECALENTAMIENTO
Esta etapa mejora la circulación sanguínea en tu cuerpo y prepara los
músculos para un ejercicio intenso. Reduce el riesgo de tirones y
lesiones. Se recomienda realizar también unos ejercicios de
estiramiento, según se indica a continuación. Si sientes dolor, deja de
hacer ejercicio o reduce el rango del movimiento realizado.
ESTIRAMIENTO DE MÚSCULOS INTERNOS DE MUSLOS.
Siéntate en superficie plana, con piernas dobladas y rodillas hacia
afuera. Une las plantas de los pies y acércalos al cuerpo todo lo
posible. Presiona suavemente las rodillas hacia el suelo y mantén en
esta posición durante 15 segundos.
ESTIRAMIENTO DE MUSLOS.
Siéntate en superficie plana. Estira la pierna derecha y coloca la planta
del pie izquierdo junto al muslo derecho. Estira el brazo derecho hacia
los dedos de la pierna derecha. Procura llegar los más lejos que puedas.
Aguanta durante 15 segundos. Repetir esta acción con la pierna
izquierda.
GIROS DE CABEZA.
Mira de frente. No muevas los hombros y gira la cabeza a la derecha e
izquierda. Vuelve a posición inicial.
ELEVACIÓN DE HOMBROS.
Estira el brazo izquierdo hacia arriba al máximo y mantenlo en esta
posición unos segundos. Repetir esta acción con brazo derecho.
ESTIRAMIENTO DE TENDÓN DE AQUILES.
Ponte de cara a la pared, desplaza la pierna izquierda hacia adelante y
dobla ligeramente la rodilla. Mantener la pierna derecha atrás -
estirada, con talón apoyado en el suelo. Mantener ambos talones en el
suelo, presionar la cadera hacia la pared. Mantener esta posición
durante 30 segundos. Repetir esta acción con la pierna derecha
adelantada. No doblar la espalda en arco, al hacer este ejercicio.
INCLINACIONES.
Estando de pie, junta las piernas. Haz una inclinación hacia adelante,
tratando de acercar el pecho hacia las rodillas. Aguanta durante 15
segundos. No dobles las rodillas.
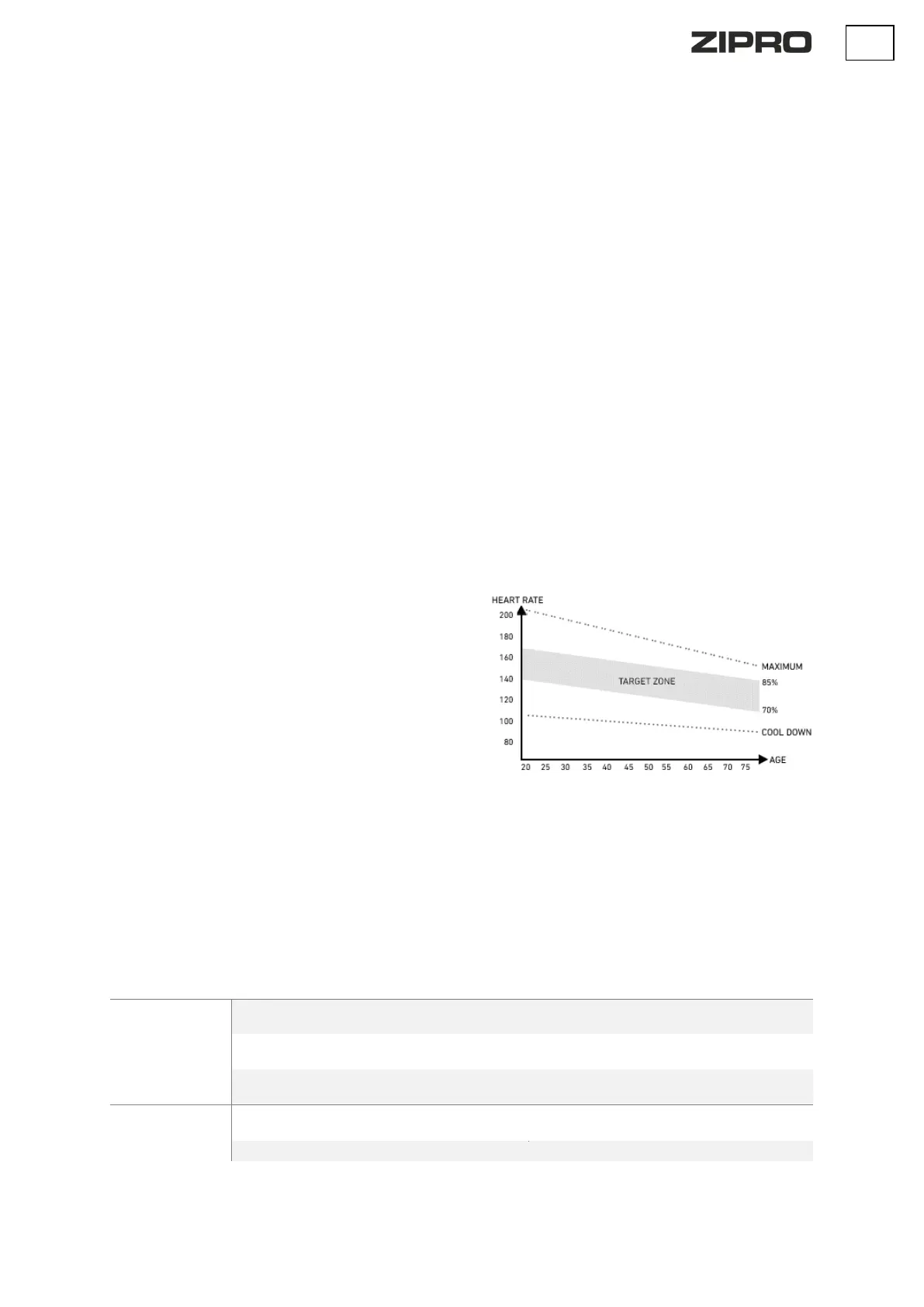
2. ETAPA DE EJERCICIOS
La etapa más intensa del entrenamiento. Haz ejercicio a tu ritmo, para
alcanzar el ritmo adecuado a tu edad, indicado en el gráfico.
3. ETAPA DE RELACIÓN
Esta etapa permite calmar la circulación y relajar los músculos. Es una
repetición de los ejercicios de
precalentamiento. No esforzar excesivamente los músculos.
POSIBLES DEFECTOS Y TÉCNICAS DE REPARACIÓN
¡ATENCIÓN! La apertura de la carcasa del dispositivo, sin consulta previa con el centro técnico del fabricante causará la pérdida de derechos de garantía.
Si se sospecha o constata un defecto que requiera abrir la carcasa, ponerse en contacto con el centro técnico del fabricante.
Descripción del error
Posible causa
Solución
El dispositivo se
balancea.
El dispositivo está colocado sobre superficie desigual.
Hay un objeto bajo el soporte que altera el equilibrio.
Colocar el dispositivo sobre superficie plana.
Eliminar objeto que altera el equilibrio.
Los soportes no han sido montados correctamente.
Montar correctamente los soportes de dispositivo.
Nivelar el dispositivo con placas en soporte posterior.
Las placas en soporte no han sido montadas correctamente
y niveladas.
Montar correctamente el soporte posterior del dispositivo.
Nivelar el dispositivo con placas en soporte posterior.
El sillín o manillar se
mueven.
Los tornillos y perillas del sillín y manillar no están apretados
a tope.
Apretar tornillos y perilla del tubo de sillín o telescopio del
manillar.
Ruido durante el uso.
Elementos apretados de forma incorrecta.
Ponerse en contacto con el servicio técnico del fabricante.

Related product manuals