EasyManua.ls Logo

Zipro Wave White - Page 46

Zipro Wave White
Print Icon
To Next Page IconTo Next Page
To Next Page IconTo Next Page
To Previous Page IconTo Previous Page
To Previous Page IconTo Previous Page
Loading...
46
RU
Установка значения для подсчета осуществляется с помощью кнопок UP и DOWN.
Отсчет начнется после нажатия кнопки START.
ПАРАМЕТРЫ ОТСЧЕТА
ВРЕМЯ: Компьютер позволяет устанавливать время в диапазоне от 5-99 минут (с интервалом в 1 минуту).
КАЛОРИИ: Компьютер позволяет устанавливать калории в диапазоне 20-990 ккалинтервалом в 10 ккал).
РАССТОЯНИЕ: Компьютер позволяет устанавливать расстояние в диапазоне 1,0-99,9 кминтервалом в 0,1 км).
СОЕДИНЕНИЕ BLUETOOTH С МОБИЛЬНЫМ ПРИЛОЖЕНИЕМ
Компьютер работает совместно с приложением iConsole+ Training, ZWIFT APP.
Начните тренировку и наслаждайтесь новыми возможностями:
Загрузите приложение.
Включите Bluetooth на мобильном устройстве.
Включите приложение и выберите в нем свое устройство ZIPRO, с которым хотите соединиться.
Когда ZIPRO соединится с приложением, компьютер выключится и его экран погаснет.
С этого момента вы управляете ZIPRO через свое мобильное устройство.
ТРЕНИНГ И ЭТАПЫ УПРАЖНЕНИЙ
Использование устройства принесет Вам много пользы. Прежде
всего, оно улучшит Вашу форму, укрепит мышцы и в сочетании
с правильной диетой позволит сжечь ненужную жировую ткань.
1. РАЗМИНКА
Это этап, который улучшает кровообращение во всем теле
и подготавливает мышцы к интенсивным усилиям. Она также
снижает риск возникновения судорог и получения ушибов.
Рекомендуется выполнение нескольких упражнений на растяжку,
как показано ниже. Если Вы чувствуете боль, прекратите
упражнение или уменьшите диапазон выполняемого движения.
РАСТЯГИВАНИЕ ВНУТРЕННИХ МЫШЦ БЕДРА
Сядьте на ровный пол с согнутыми ногами и коленями,
направленными наружу. Соедините подошвы ног и придвиньте их
к себе как можно ближе. Слегка нажмите на колени, прижимая их
к полу, и удерживайте их в этом положении в течение 15 секунд.
РАСТЯГИВАНИЕ МЫШЦ БЕДЕР
Сядьте на ровный пол. Выпрямьте правую ногу, а подошву левой
ноги приложите к правому бедру. Вытяните правую руку
в направлении пальцев правой ноги, насколько это возможно.
Подержите так в течение 15 секунд. Повторите действие с левой
ногой.
ПОВОРОТЫ ГОЛОВЫ
Держите голову прямо, смотрите перед собой. Не двигая руками,
поверните ее вправо и выпрямите, затем поверните влево и
выпрямите.
ПОДНИМАНИЕ РУК
Поднимите левую руку как можно выше вверх и удерживайте ее в
течение нескольких секунд. Повторите действие с правой рукой.
РАСТЯГИВАНИЕ АХИЛЕСОВЫХ СУХОЖИЛИЙ
Станьте лицом к стене, левую ногу выставьте вперед и слегка
согните ее в колене. Правую держите сзади прямо, с пяткой,
находящейся на полу. Удерживайте обе пятки ровно на полу и
прижимайте бедра в направлении стены. Сохраняйте это
положение в течение 30 секунд. Повторите действие с
выставленной вперед правой ногой. Помните, во время
выполнения упражнения нельзя сгибать спину.
НАКЛОНЫ
Станьте прямо, ноги вместе. Выполните наклон вперед, стараясь
как можно сильнее приблизить грудную клетку к коленям.
Удерживайтесь в этом положении в течение 15 секунд. Помните,
что нельзя сгибать колени.
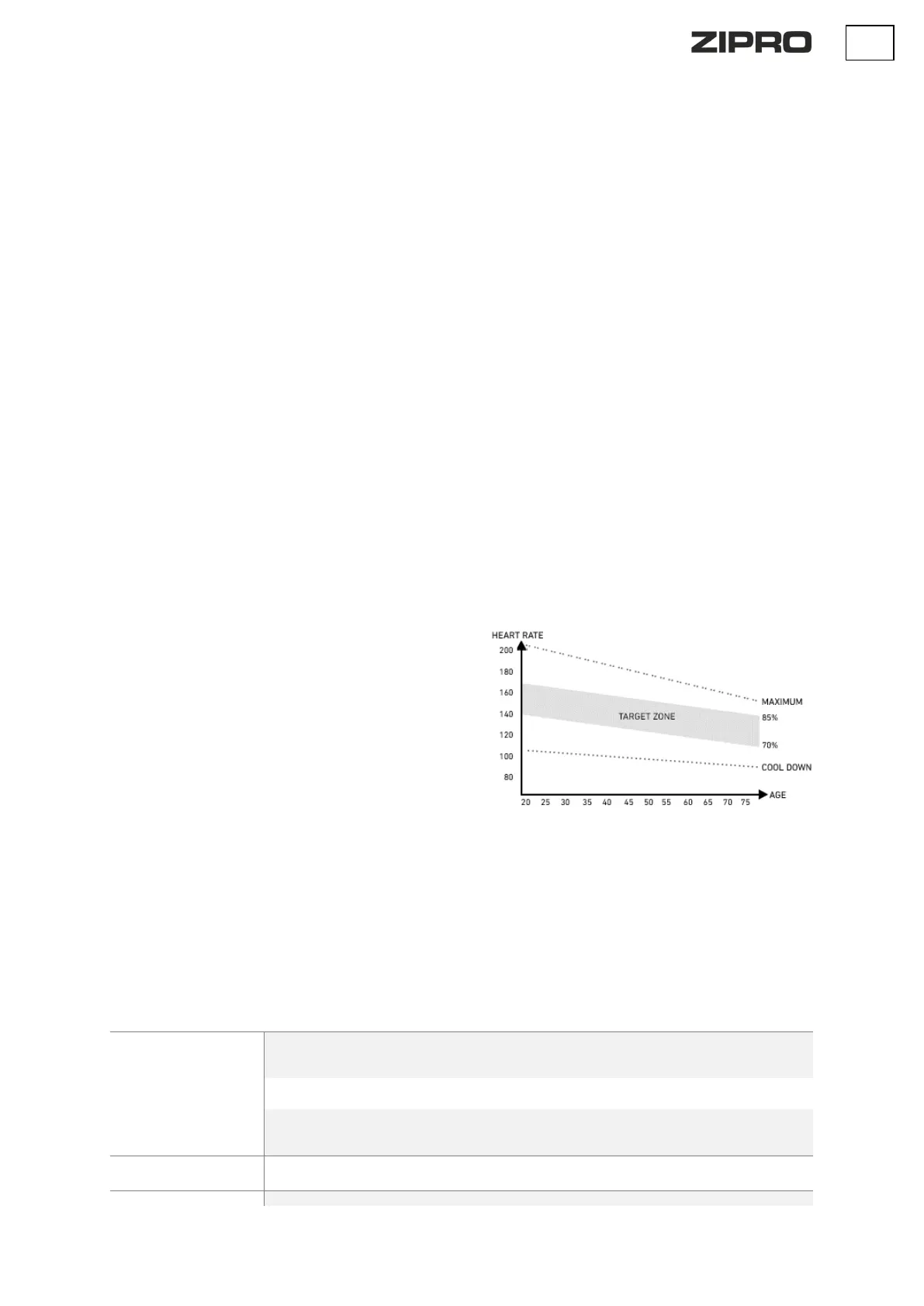
2. ЭТАП УПРАЖНЕНИЙ
Это собственно этап тренинга. Упражняйтесь в своем собственном
темпе, чтобы достичь пульса, соответствующего вашему возрасту,
как показано на графике ниже.
3. ЭТАП РАССЛАБЛЕНИЯ
Этот этап позволяет успокоить кровообращение
и расслабить мышцы. Это повторение упражнений
на разогрев. Необходимо следить за тем, чтобы не надорвать
мышцы.
ВОЗМОЖНЫЕ ПОВРЕЖДЕНИЯ И МЕТОДЫ РЕМОНТА
ВНИМАНИЕ! Открытие корпуса устройства без предварительного обращения в сервисный центр производителя приводит к потере гарантии.
В случае подозрения в возникновении ошибки, требующей открытия корпуса, обратитесь в сервисный центр производителя.
Описание ошибки
Возможные причины
Решение
Устройство качается
Устройство установлено на неровной поверхности.
Под основанием устройства находится предмет,
нарушающий равновесие.
Установите устройство на ровную поверхность.
Устраните предмет, нарушающий равновесие.
Основания собраны неправильно.
Правильно соберите основания устройства.
Нивелируйте накладки на заднем основании.
Накладки на основании собраны и нивелированы
неправильно.
Правильно соберите заднее основание
устройства.
Нивелируйте накладки на заднем основании.
Седло или руль качаются
Винты и ручки стойки седла или руля не затянуты.
Затяните винты и ручку стойки седла или руля.
Шум при использовании
Неправильно затянутые элементы.
Обратитесь в сервисный центр производителя.

Related product manuals