EasyManua.ls Logo

Zipro Wave White - Page 57

Zipro Wave White
Print Icon
To Next Page IconTo Next Page
To Next Page IconTo Next Page
To Previous Page IconTo Previous Page
To Previous Page IconTo Previous Page
Loading...
57
RO
Numărătoarea inversă va începe după apăsarea butonului START.
PARAMETRII DE NUMĂRĂTOARE DESCRESCĂTOARE
TIMP: Computerul permite setarea duratei în intervalul 5-99 minute (câte 1 minut).
CALORII: Computerul permite setarea caloriilor în intervalul 20-990 kcal (câte 10 kcal).
DISTANŢĂ: Computerul permite setarea distanţei în intervalul 1,0-99,9 km (câte 0,1 km).
CONECTARE BLUETOOTH CU APLICAȚIA MOBILĂ
Computerul conlucrează cu aplicația iConsole+ Training, ZWIFT APP.
Începeți antrenamentul și bucurați-vă de noi oportunități:
Descărcați aplicația.
Activați Bluetooth pe dispozitivul dvs. mobil.
Activați aplicația și selectați dispozitivul ZIPRO cu care doriți să vă conectați.
Când ZIPRO se conectează la aplicație, computerul va fi oprit și se va stinge ecranul. De acum înainte, gestionați ZIPRO prin intermediul
dispozitivului dvs. mobil.
ANTRENAMENT ŞI FAZE EXERCIŢII
Utilizarea aparatului vă oferă multe beneficii. În primul rând condiţia
dumneavoastră se va îmbunătăţi, se vor întări muşcii, iar împreună cu o
dietă corespunzătoare veţi putea arde ţesutul adipos în exces.
1. ÎNCĂLZIRE
Este faza care îmbunătăţeşte circulaţia sângelui în întreg corpul şi
pregăteşte muşchii la un efort intens. Reduce riscul de apariţie a
crampelor şi de leziuni. Este indicat să efectuaţi câteva exerciţii de
întindere cum este indicat mai jos. În cazul în care simţiţi dureri încetaţi
să faceţi exerciţii sau reduceţi amploarea mişcării efectuate.
ÎNTINDERE MUŞCHI INTERNI COAPSE
Aşezaţi-vă pe o suprafaţă plată cu picioarele îndoite şi genunchii
îndreptaţi în exterior. Împreunaţi tălpile picioarelor şi apropiaţi-le atât
de tare cât este posibil. Apăsaţi uşor genunchii înspre podea şi
menţineţi în această poziţie timp de 15 secunde.
ÎNTINDERE COAPSE
Aşezaţi- pe o suprafaţă plată. Îndreptaţi piciorul drept şi aşezaţi talpa
piciorului stâng pe coapsa dreaptă. Trageţi mâna dreaptă în direcţia
degetelor piciorului drept atât de departe pe cât posibil. Rezistaţi timp
de 15 secunde. Repetaţi activitatea cu piciorul stâng.
ROTIRE CAP
Ţineţi capul drept privind înainte. Fără a mişca braţele rotiţi-l la dreapta
şi reveniţi, iar apoi rotiţi la stânga şi reveniţi.
RIDICARE BRAŢE
Ridicaţi mâna stângă cât mai sus posibil şi ţineţi câteva secunde.
Repetaţi activitatea cu mâna dreaptă.
ÎNTINDERE TENDOANELE LUI AHILE
Staţi cu faţa la perete întindeţi piciorul stâng în faţă şi îndoiţi uşor
genunchiul. Ţineţi piciorul drept în spate îndreptat cu călcâiul plat pe
podea. Ţineţi ambele călcâie plat pe podea şi împingeţi şoldul înspre
perete. Menţineţi această poziţie timp de 30 secunde. Repetaţi
activitatea cu piciorul drept întins. Reţini că nu trebuie să arcuiţi
spatele pe durata exerciţiului.
EXTENSII
Staţi cu picioarele apropiate. Aplecaţi-vă în faţă încercând să apropiaţi
cât mai tare posibil cutia toracică de genunchi. Rezistaţi timp de
15 secunde. Reţineţi că nu trebuie să îndoiţi genunchii.
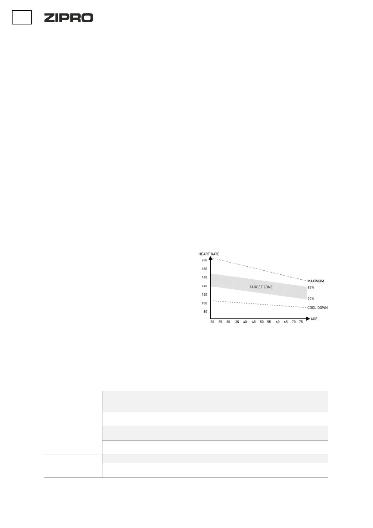
2. FAZĂ EXERCIŢII
Aceasta este faza propriu-zisă a antrenamentului. Antrenaţi-vă în
propriul ritm astfel încât să atingeţi pulsul adecvat pentru vârsta
dumneavoastră cum este indicat în diagrama de mai jos.
3. FAZĂ RELAX
Această fază vă permite să liniştiţi circulaţia şi să relaxaţi muşchii.
Constă în repetarea exerciţiilor de încălzire. Trebuie să aveţi grijă să nu
suprasolicitaţi muşchii.
DEFECŢIUNI POSIBILE ŞI TEHNICI DE REPARARE
ATENŢIE! Deschiderea carcasei aparatului fără a contacta în prealabil service-ul producătorului duce la pierderea garanţiei. În cazul în care suspectaţi
apariţia unei defecţiuni care necesită deschiderea carcasei contactaţi service-ul producătorului.
Descriere eroare
Cauze posibile
Soluţie
Aparatul se clatină
Aparatul a fost amplasat pe o suprafaţă denivelată. ub
suportul aparatului se află un obiect care perturbea
echilibrul.
Amplasaţi aparatul pe o suprafaţă plată.
Îndepărtaţi obiectul care perturbează echilibrul.
Suporturile nu au fost montate corect. Montaţi corect suporturile aparatului.
Nivelaţi şaibele de pe suportul posterior.
Şaibele de pe suport nu au fost montate şi nivelate
corect.
Montaţi corect suportul posterior al aparatului.
Nivelaţi şaibele de pe suportul posterior.
Scaunul sau ghidonul se
clatină
Şuruburile şi butoanele coloanei scaunului ori
ghidonului nu au fost înfiletate.
Înfiletaţi şuruburile şi butonul de ajustare al coloanei
scaunului sau ghidonului.
Zgomot pe durata utilizării
Piese înfiletate în mod necorespunzător.
Contactaţi service-ul producătorului.
Pe durata utilizării aparatului pot apărea zgomote reduse în caz de mişcare inerţială a roţii de deplasare care decurg din
tipul de construcţie. Acestea nu au niciun impact asupra funcţionării echipamentului. Zgomotele potenţiale care apar

Related product manuals