EasyManua.ls Logo

Zipro Yougo - Page 48

Zipro Yougo
Print Icon
To Next Page IconTo Next Page
To Next Page IconTo Next Page
To Previous Page IconTo Previous Page
To Previous Page IconTo Previous Page
Loading...
48
SK
NÁVOD NA MONŽ
Bežecký pás si nevyžaduje žiadnu montáž.
POZOR! Pred použitím bežeckého pásu skontrolujte, či sú všetky
skrutky správne zaskrutkované.
SKLON PÁSU ( Pozri stranu 3)
POZOR! Pred zložením vždy skontrolujte, či sú všetky skrutky náležite
dotiahnuté, a či je odpojený sieťový (napájací ) kábel.
POZOR! Pri skladaní dávajte pozor na ruky a prsty, aby sa nezachytili.
Po zdvihnutí bežeckého pásu do zvislej polohy potiahnite rukou za
držiak a otočte ho nadol tak, aby sa dotýkal podlahy. Uistite sa, že je
bežecký pás pevne podopretý a uvoľnite rám.
NASTAV
Vyrovnávanie zariadenia
Natavte zariadenie vodorovne tak, že povolíte nebo utiahnete
vyrovnávacie nôžky nachádzajúce sa na zadnom podstavci.
NÁVOD NA OBSLUHU POČÍTAČA
ZAHÁJENIE/UKONČENIE
Počas 5 sekúnd po stlačení tlačidla START začne zariadenie premávať.
FUNKCIA ÚSPORY ENERGIE
Bežecký pás automaticky prejde do režimu úspory energie, ak sa do 10
minút nevykoná žiadna operácia. Stlačením ľubovoľného tlačidla
reštartujete systém.
POPIS TLAČIDIEL
START - slúži na spustenie bežeckého pásu v manuálnom
režime alebo vybraného programu.
STOP - slúži na zastavenie bežeckého pásu. Po stlačení sa
vynulujú aj nastavenia. Po opätovnom spustení sa zariadenie
spustí v manuálnom režime.
Tlačidlá SPEED +/- - umožňujú nastaviť (zvýšiť a znížiť) rýchlosť
v krokoch po 0,1 km/h počas tréningu. Tlačidlá sú umiestnené
na konzole počítača a na madlách.
FUNKCIE (ŠPECIFIKÁCIE)
SPEED
Zobrazuje momentálnu
rýchlosť.
1-6 km/h
TIME
Počíta celkový čas cvičenia od
jeho zahájenia do ukončenia.
00:00-99:59
min
CALORIES
Počíta celkový počet spálených
kalórií od zahájenia do
ukončenia cvičenia.
(Meranie je iba približné. Je
určené na porovnávanie sérií
cvičení, nemôže sa používať pri
liečbe).
0,0-999 kcal
DISTANCE
Počítá celkovou uběhnutou
vzdálenost od zahájení do
ukončení cvičení.
0,0-99,9 km
MANUÁLNY PROGRAM
Manuálny program je predvolený režim stroja. Bežecký pás sa v ňom
spustí po stlačení tlačidla START a nie je zvolený žiadny tréningový
program.
Predvolená rýchlosť v manuálnom režime je 1 km/h.
Nastavenie rýchlosti a uhla sklonu možno meniť pomocou
tlačidiel na počítači a madlách.
PREHRÁVANIE HUDBY MP3
Počítač bežeckého pásu umožňuje prehrávanie hudby z
reproduktorov. Po zapnutí bežeckého pásu zapnite v nastaveniach
telefónu funkciu Bluetooth a kliknite na tlačidlo vyhľadávania. Zvoľte
RZ pre pripojenie k bežeckému pásu a prehrávanie hudby.
TRÉNING A FÁZY CVIČENIA
Používanie trenažéru bude pre Vás veľmi prospešné. Predovšetkým
zlepší Vašu konciu, posilní svaly a v spojení s príslušnou diétou
umožní spáliť zbytočné tukové tkanivo.
1. ROZCVIČKA
To je fáza, ktorá zlepšuje prúdenie krvi v celom tele a pripravuje svaly
na intenzívnu námahu. Znižuje tiež riziko vznikov kŕčov a úrazu.
Odporúča sa urobiť niekoľko naťahovacích cvikov, ako je uvedené
nižšie. Pokiaľ pocítite bolesť, prestaňte cvičiť alebo zvoľte menší
rozsah vykonávaného pohybu.
NAŤAHOVANIE VNÚTORNÝCH STEHENNÝCH SVALOV
Posaďte sa na rovnom podklade s ohnutými nohami a kolenami
smerujúcimi von. Spojte chodidla a priblížte ich ku telu tak blízko, ako
je to možné. Jemno stlačte kolena smerom ku zemi a vydržte v tejto
polohe po dobu 15 sekúnd.
ROZŤAHOVANIE STEHIEN
Posaďte sa na rovnom podklade. Narovnajte pravú nohu a spodnú
stranu ľavého chodidla priložte ku pravému stehnu. Natiahnite pra
ruku smerom ku prstom pravej nohy tak ďaleko, ako je to možné.
Vydržte po dobu 15 sekúnd. Zopakujte činnosť s ľavou nohou.
OTOČKY HLAVY
Držte hlavu rovno a dívajte sa pred seba. Bez pohybu plecami, otočte
hlavu doprava a vyrovnajte ju a následne doľava a vyrovnajte.
DVÍHANIE RAMIEN
Zodvihnite ľavú ruku tak vysoko, ako len je to možné, a vydržte cez
niekoľko sekúnd. Činnosť zopakujte s pravou rukou.
ROZŤAHOVANIE ACHILOVIEK
Postavte sa tvárou ku stene, ľavú nohu vysuňte dopredu a mierne
ohnite v kolene. Pravú držte vzadu narovnanú, s pätou položenou
rovno na podklade. Držte obe päty rovno na podklade, pritlačte boky
smerom ku stene. Udržujte tuto polohu po dobu 30 sekúnd. Zopakujte
postup s vysunutou pravou nohou. Pamätajte, aby ste počas cvičenia
neohýbali chrbát do oblúku.
PREDKLONY
Postavte sa so spojenými nohami. Urobte predklon a snte sa pri tom
čo najviac priblížiť hruď ku kolenám. Vydržte 15 sekúnd. Pamätajte na
to, aby ste neohýbali kolena.
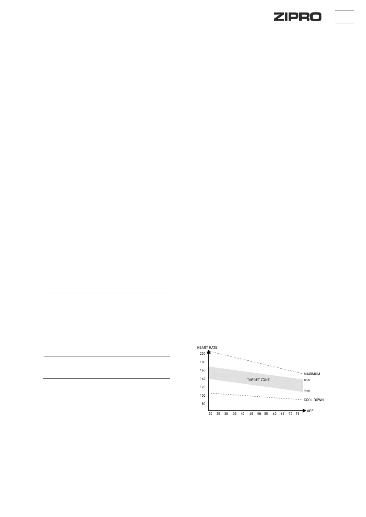
2. FÁZA CVIČENIA
Toto je fáza vlastného tréningu. Cvičte svojim tempom tak, aby ste
dosiahli tep vhodný pre svoj vek, ako je to uvedené na nasledujúcom
grafe.
3. ODDYCHOVÁ FÁZA
Tato fáza umožňuje upokojenie krvného obehu a uvoľnenie svalov. Je
to opakovanie rozcvičky. Je treba pamätať na to, aby ste
nepreťažovali svaly.
MOŽNÉ POŠKODENIA A SPÔSOBY OPRAVY
POZOR! Otvorenie krytu zariadenia bez predchádzajúceho
kontaktovania servisu výrobcu je dôvodom pre stratu záruky. Pokiaľ

Related product manuals