EasyManua.ls Logo

Zipro Yougo - Page 73

Zipro Yougo
Print Icon
To Next Page IconTo Next Page
To Next Page IconTo Next Page
To Previous Page IconTo Previous Page
To Previous Page IconTo Previous Page
Loading...
73
IT
ATTENZIONE! Durante il montaggio, porre attenzione a mani e dita
per evitare che vengano schiacciate.
Dopo aver sollevato il tapis roulant in verticale, tirare il supporto con
la mano e ruotarlo verso il basso in modo che tocchi il pavimento.
Assicurarsi che il tapis roulant sia sostenuto in modo stabile e lasciare
il telaio.
IMPOSTAZIONI
Livellamento dell'uni
Livellare l'unità svitando o stringendo i piedini di livellamento situati
sullo stabilizzatore posteriore.
MANUALE D'USO DEL COMPUTER
INIZIO/FINE
Entro 5 secondi dalla pressione del tasto START, l'apparecchio inizia a
funzionare.
FUNZIONE DI RISPARMIO ENERGETICO
Il computer del tapis roulant entra automaticamente in modalità di
risparmio energetico, se non viene svolta alcuna attività entro 10
minuti. Premere un tasto qualsiasi per riavviare il sistema.
DESCRIZIONE DEI PULSANTI
START - serve per avviare il tapis roulant in modalità manuale
o il programma selezionato.
STOP - serve a fermare il tapis roulant funzionante. Una volta
premuto, anche le impostazioni vengono ripristinate. Dopo il
riavvio, l'apparecchio entra in modalità manuale.
SPEED +/- - i pulsanti consentono di regolare (aumentare e
diminuire) la velocità ogni 0,1 km/h durante l'allenamento. I
pulsanti si trovano sulla console del computer e sui corrimano.
FUNZIONI (SPECIFICAZIONE)
SPEED
Visualizza la velocità corrente.
1-6 km/h
TIME
Conta il tempo totale
dell'esercizio dall'inizio alla fine.
00:00-99:59
min
CALORIES
Conta il numero totale di calorie
bruciate dall'inizio alla fine
dell'esercizio.
(La misurazione è approssimativa
per confrontare diverse sessioni di
esercizio, non può essere
utilizzata per il trattamento).
0,0-999 kcal
DISTANCE
Conta la distanza totale dall'inizio
alla fine dell'esercizio.
0,0-99,9 km
PROGRAMMA MANUALE
Il programma manuale è la modalità di funzionamento predefinita
dell'apparecchio. In questo caso, il tapis roulant si avvia quando si
preme START e non è stato selezionato alcun programma di
allenamento.
La velocità predefinita in modalità manuale è di 1 km/h.
Le impostazioni di velocità e l’angolo di inclinazione possono
essere modificate utilizzando i pulsantdel telecomando.
RIPRODUZIONE DI MUSICA MP3
Il computer del tapis roulant consente la riproduzione di musica dagli
altoparlanti. Una volta acceso il tapis roulant, attivare il Bluetooth
nelle impostazioni del telefono e fare clic sul pulsante di ricerca.
Selezionare RZ per collegarsi al tapis roulant e riprodurre la musica.
ALLENAMENTO E LE FASI DI ESERCIZI
L'uso della macchina vi fornirà molti benefici. Prima di tutto,
migliorerà la tua condizione, rafforzerà i tuoi muscoli e, combinato
con una dieta adeguata, ti permetterà di bruciare il grasso corporeo in
eccesso.
1. RISCALDAMENTO
Questa fase migliora la circolazione del sangue in tutto il corpo
e prepara i muscoli per un maggiore esercizio. Riduce anche il rischio
di sviluppare crampi e di lesioni. Si consiglia di fare alcuni esercizi
di stretching come indicato di seguito. Se senti dolore, smetto
di esercitarti o riduci la gamma di movimento.
ALLUNGARE I MUSCOLI INTERNI DELLA COSCIA
Siediti su una superficie piana con le gambe piegate e le ginocchia
rivolte verso l’esterno. Avvicina le piante dei piedi e portale il p
vicino possibile. Premi delicatamente le ginocchia, puntandole verso il
suolo e mantieni questa posizione per 15 secondi.
ALLUNGARE LE COSCE
Siediti su una superficie piana. Raddrizza la gamba destra e metti la
pianta del piede sinistro sulla coscia destra. Estendi la mano destra
verso le dita della gamba destra il più possibile. Mantieni questa
posizione per 15 secondi. Ripeti con la gamba sinistra.
ROTAZIONI DEL CAPO
Tieni la testa dritta, guardando dritto davanti a te. Senza muovere le
braccia, gira la testa a destra e raddrizzala, e poi gira la testa a sinistra
e raddrizzala.
SOLLEVAMENTI DELLE BRACCIA
Alza il braccio sinistro il più in alto possibile e tienilo cosi per alcuni
secondi. Ripeti l’esercizio con il braccio destro.
ALLUNGAMENTO DEL TENDINE D'ACHILLE
In piedi di fronte al muro, stendi la gamba sinistra in avanti e piegala
leggermente al ginocchio. Tieni la gamba destra dietro di te, dritta,
con il tallone sul pavimento. Tieni entrambi i talloni sul pavimento e
premi i fianchi contro il muro. Mantieni questa posizione per 15
secondi. Ripeti l’esercizio con la gamba destra estesa. Ricordati di non
inarcare la schiena durante l’esercizio.
PIEGAMENTI IN AVANTI IN PIEDI
Stai con i piedi uniti. Fai un piegamento in avanti, cercando
di avvicinare il più possibile il petto alle ginocchia. Mantieni questa
posizione per 15 secondi. Ricordati di non piegare le ginocchia.
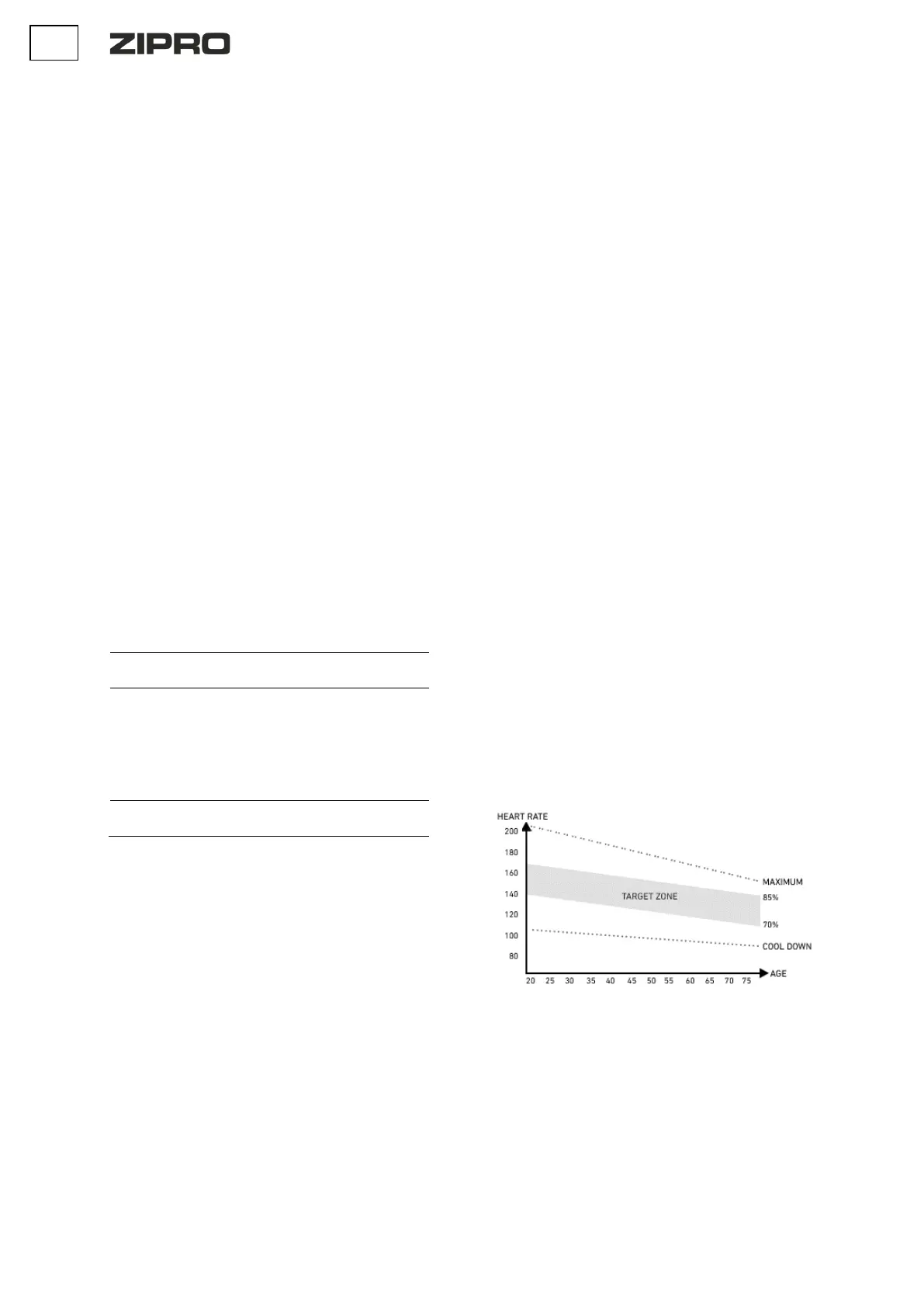
2. FASE DI ALLENAMENTO
Questa è la propria fase dell'allenamento. Esercitati al proprio ritmo
per raggiungere la frequenza cardiaca appropriata per la tua età come
indicato nella tabella.
3. FASE DI RILASSAMENTO
Questa fase permette di calmare la circolazione e a rilassare i muscoli.
È una ripetizione dei esercizi di riscaldamento.
È importante ricordare di non sforzare i muscoli.
POSSIBILI DANNI E TECNICHE DI RIPARAZIONE
ATTENZIONE! L’apertura dell’involucro del dispositivo senza il previo
contatto con il servizio di assistenza del fabbricante invaliderà la
garanzia. In caso di sospetto guasto che richieda l’apertura
dell’involucro, contattare il servizio di assistenza del fabbricante.

Related product manuals