EasyManua.ls Logo

Zipro Yougo - Page 79

Zipro Yougo
Print Icon
To Next Page IconTo Next Page
To Next Page IconTo Next Page
To Previous Page IconTo Previous Page
To Previous Page IconTo Previous Page
Loading...
79
ES
47
Mando a distancia
1
INSTRUCCIONES DE MONTAJE
La cinta de correr no requiere montaje.
NOTA! Antes de utilizar la cinta de correr, compruebe que todos los
tornillos están correctamente atornillados.
POSICIONAMIENTO VERTICAL (→ Vedere pag. 3)
ATTENZIONE! Prima di procedere al montaggio, verificare
attentamente che tutte le viti siano serrate y desconecte el aparato de
la red eléctrica.
ATTENZIONE! Durante il montaggio, porre attenzione a mani e dita
per evitare che vengano schiacciate.
Después de poner la cinta de correr en posición vertical, tire del
soporte con la mano y gírelo hacia abajo para que toque el suelo.
Asegúrese de que la cinta de correr está apoyada de forma estable y
suelte el soporte.
AJUSTES
Nivelación del dispositivo
Nivele la máquina desatornillando o apretando las patas niveladoras
en las base trasera.
MANUAL DE USO DEL ORDENADOR
INICIO/FIN
Dentro de los 5 segundos posteriores a pulsar el START , el dispositivo
comenzará a funcionar.
FUNCIÓN DE AHORRO DE ENERGÍA
El ordenador de la cinta entrará automáticamente en el modo de
ahorro de energía si no se produce ninguna actividad en 10 minutos.
Pulse cualquier tecla para reanudar el sistema.
ESCRIPCIÓN DE LOS BOTONES
START - sirve para poner en marcha la cinta en modo manual o
el programa seleccionado.
STOP - se utiliza para detener la cinta de correr. Después de
pulsar, la configuración también se restablecerá. Tras el
reinicio, la unidad arrancará en modo manual.
Los botones SPEED +/- - permiten ajustar (aumentar y
disminuir) la velocidad en incrementos de 0,1 km/h durante el
entrenamiento. Los botones están situados en la consola del
ordenador y en los soportes.
FUNCIONES (ESPECIFICACIÓN)
SPEED
Muestra la velocidad actual.
1-6 km/h
TIME
Cuenta el tiempo total de ejercicio
desde el principio hasta el final.
00:00-99:59
min
CALORIES
Cuenta el número total de calorías
quemadas desde el inicio hasta el
final del ejercicio.
(La medición es aproximada para
comparar diferentes sesiones de
ejercicio, no puede utilizarse para
el tratamiento).
0,0-999 kcal
DISTANCE
Cuenta la distancia total desde el
inicio hasta el final del ejercicio.
0,0-99,9 km
PROGRAMA MANUAL
El programa manual es el modo de funcionamiento predeterminado
del dispositivo. La cinta de correr comienza a trabajar en ella después
de presionar START, cuando no se selecciona ningún programa de
entrenamiento.
La velocidad predeterminada en modo manual es de 1 km/h.
Los ajustes de velocidad y ángulo pueden modificarse
mediante los botones del mando a distancia.
REPRODUCCIÓN DE MÚSICA MP3
La cinta de correr permite reproducir música a través de los altavoces.
Una vez encendida la cinta de correr, active Bluetooth en la
configuración de su teléfono y haga clic en el botón de búsqueda.
Seleccione RZ para conectarse a la cinta de correr y reproducir
música.
ENTRENAMIENTO Y ETAPAS DE EJERCICIOS
El uso de este dispositivo resultará muy ventajoso para ti. Ante todo,
mejorará tu estado físico, reforzará los músculos y permitirá quemar
el exceso de grasa, si implementas también una dieta adecuada.
1. PRECALENTAMIENTO
Esta etapa mejora la circulación sanguínea en tu cuerpo y prepara los
músculos para un ejercicio intenso. Reduce el riesgo de tirones y
lesiones. Se recomienda realizar también unos ejercicios de
estiramiento, según se indica a continuación. Si sientes dolor, deja de
hacer ejercicio o reduce el rango del movimiento realizado.
ESTIRAMIENTO DE MÚSCULOS INTERNOS DE MUSLOS.
Siéntate en superficie plana, con piernas dobladas y rodillas hacia
afuera. Une las plantas de los pies y acércalos al cuerpo todo lo
posible. Presiona suavemente las rodillas hacia el suelo y mantén en
esta posición durante 15 segundos.
ESTIRAMIENTO DE MUSLOS.
Siéntate en superficie plana. Estira la pierna derecha y coloca la
planta del pie izquierdo junto al muslo derecho. Estira el brazo
derecho hacia los dedos de la pierna derecha. Procura llegar los más
lejos que puedas. Aguanta durante 15 segundos. Repetir esta acción
con la pierna izquierda.
GIROS DE CABEZA.
Mira de frente. No muevas los hombros y gira la cabeza a la derecha e
izquierda. Vuelve a posición inicial.
ELEVACIÓN DE HOMBROS.
Estira el brazo izquierdo hacia arriba al máximo y mantenlo en esta
posición unos segundos. Repetir esta acción con brazo derecho.
ESTIRAMIENTO DE TENDÓN DE AQUILES.
Ponte de cara a la pared, desplaza la pierna izquierda hacia adelante y
dobla ligeramente la rodilla. Mantener la pierna derecha atrás -
estirada, con talón apoyado en el suelo. Mantener ambos talones en
el suelo, presionar la cadera hacia la pared. Mantener esta posición
durante 30 segundos. Repetir esta acción con la pierna derecha
adelantada. No doblar la espalda en arco, al hacer este ejercicio.
INCLINACIONES.
Estando de pie, junta las piernas. Haz una inclinación hacia adelante,
tratando de acercar el pecho hacia las rodillas. Aguanta durante 15
segundos. No dobles las rodillas.
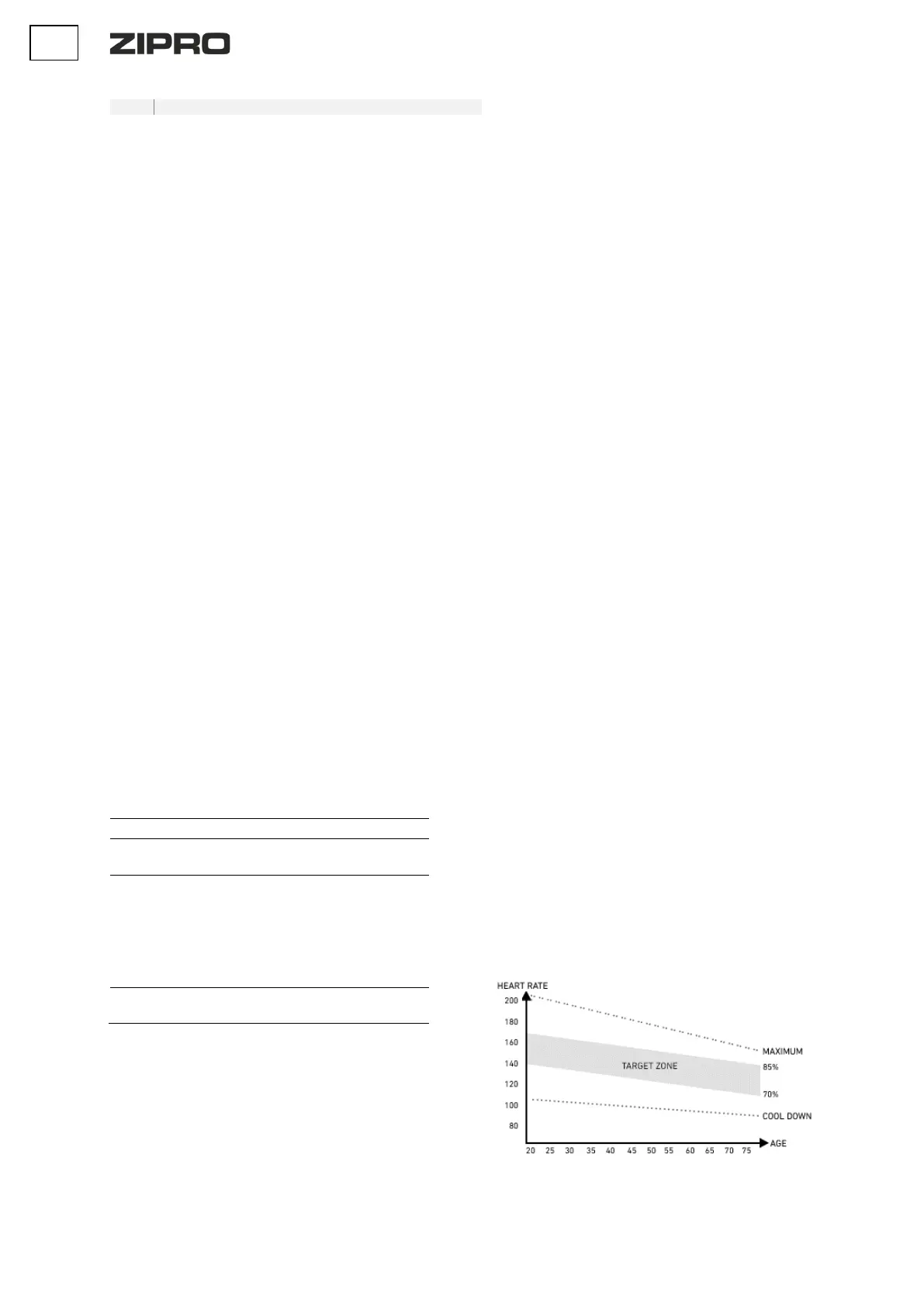
2. ETAPA DE EJERCICIOS
La etapa más intensa del entrenamiento. Haz ejercicio a tu ritmo,
para alcanzar el ritmo adecuado a tu edad, indicado en el gráfico.

Related product manuals