EasyManua.ls Logo

AERMEC NRA 0800 - Factores de Incrustación

AERMEC NRA 0800
86 pages
Print Icon
To Next Page IconTo Next Page
To Next Page IconTo Next Page
To Previous Page IconTo Previous Page
To Previous Page IconTo Previous Page
Loading...
59
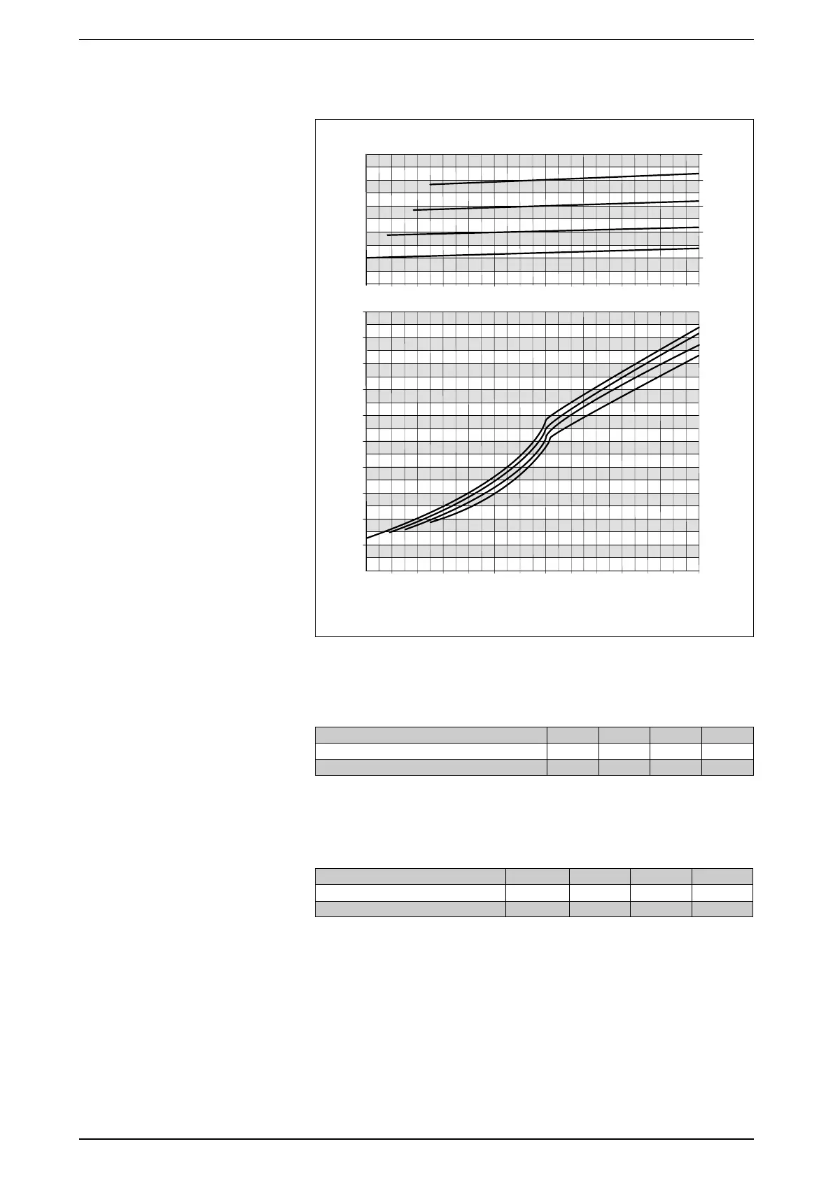
7.3 POTENCIA TÉRMICA
Y ABSORBIDA
- “VERSIONES BOMBA DE CALOR”
La potencia térmica producida y la
potencia eléctrica absorbida en
condiciones diversas de las nominales
se obtienen multiplicando los valores
nominales (Pf, Pa) que aparecen al
pie de la página por los respectivos
coeficientes correctivos (Cf, Ca).
El siguiente diagrama permite
obtener los coeficientes correctivos;
en relación con cada curva se indica
la temperatura del agua caliente
producida a la que se hace referencia,
asumiendo una diferencia de
temperatura del agua entre entrada y
salida del condensador igual a 5°C.
Los rendimientos son en neto de los
ciclos de descongelación.
LEYENDA:
Ct = Coeficiente correctivo de la
potencia térmica
Ca = Coeficiente correctivo de la
potencia absorbida
7.4 PARA ∆T DIFERENTES
DEL NOMINAL
Para ∆t diferentes de 5°C en el
evaporador, use la Tab.1 para obtener
los factores correctivos de la
potencia de refrigeración y absorbida.
Para controlar el ensuciamiento de
los intercambiadores se utilizan
los correspondientes factores de
ensuciamiento
7.5 FACTORES DE
INCRUSTACIÓN
Las prestaciones indicadas en la tabla
se refieren a las condiciones de tubos
limpios con factor de incrustación =
1. Para valores diferentes del factor
de incrustación multiplique los datos
de las tablas de prestaciones por los
coeficientes indicados.
.
Temperatura del aire externo b.s. con 87% de
(Ct)
(Ca)
¤~
¤
~ ~ ~ ~
¤¤¤






~
~~
~
~
~
¤~
¤
~ ~ ~ ~
¤¤¤




~
~~




hgl]frYÛYkkgjZalY
hgl]frYÛl]jea[Y




7.4.1 Factores correctivos para t diferentes del nominal Chiller
35810
Factores de corrección potencia de refrigeración
0,99 1 1,02 1,03
Factores de corrección potencia absorbida 0,99 1 1,01 1,02
[K*m
2
]/[W]
0,00005 0,0001 0,0002
Factor de cor. potencia de refrigeración
1 0.98 0.94
Factores de corrección potencia absorbida
1 0,98 0,95
7.5.1 Factores de incrustación
Temperatura agua producida

Related product manuals