EasyManua.ls Logo

AERMEC VED 330 - Page 98

AERMEC VED 330
194 pages
Print Icon
To Next Page IconTo Next Page
To Next Page IconTo Next Page
To Previous Page IconTo Previous Page
To Previous Page IconTo Previous Page
Loading...
41
IVEDPY 2005 - 4879010_04
0
20
40
60
80
100
120
140
1400 1600 1800 2000 2200 2400 2600 2800
V2
V3
V1
V4
V5
0
0,0029
0,0058
0,0087
0,0116
0,0174
0,0203
0,0145
1294,87 824,01 941,72 1059,44 1177,16 1412,59 1530,30 1648,02
Air flow rate [m
3
/h]
Useful head [Pa]
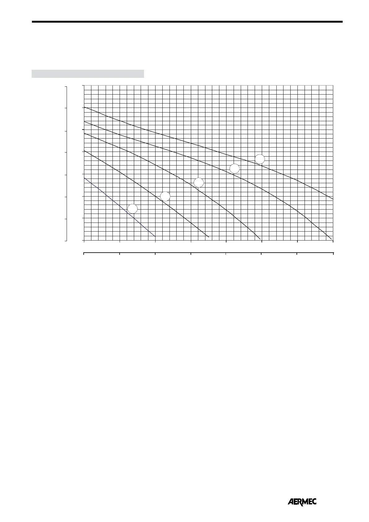
VED 741
The fan coils in the VED series have been designed to make it possible to adjust the static pressure supplied by the fan upon pres-
sure drops in the duct by choosing an appropriate set of three speeds.
The graph shows the useful static pressure of the machines with the uprated multispeed motor in function of the air flow rate and
speed of the fan (V1...V5).
STATIC PRESSURE

Related product manuals