EasyManua.ls Logo

Aeroneb Go - Power and Isolation Specifications

Aeroneb Go
32 pages
Print Icon
To Next Page IconTo Next Page
To Next Page IconTo Next Page
To Previous Page IconTo Previous Page
To Previous Page IconTo Previous Page
Loading...
19
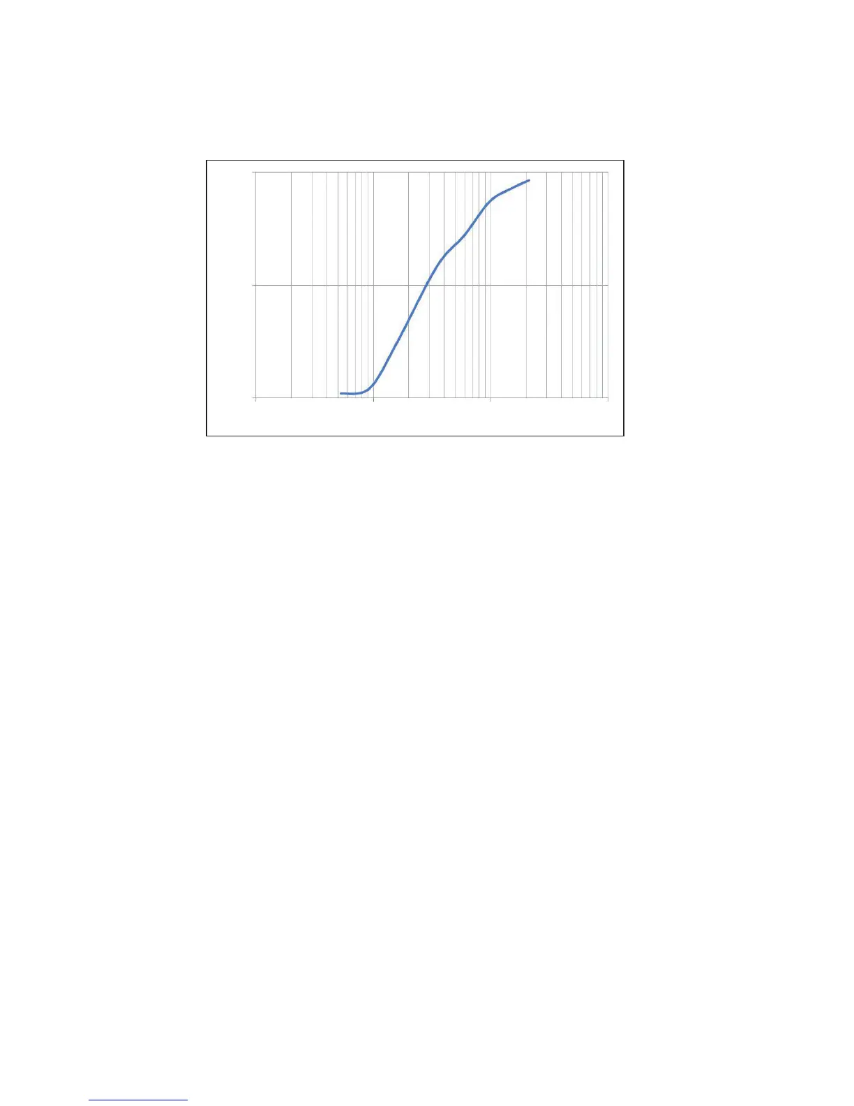
Representative particle size distribution graph for Albuterol
as per EN13544-1 is shown below:
Aerodynamic Size (µm)
0.1 1 10 100
100.0
50.0
0.0
Cumulative Mass (%)
Power
Power Source:
Aeroneb Go Control Module - 4.5 VDC (3 “AA” disposable or
rechargeable batteries), 350 mA.
AC/DC Adapter: 100-240 VAC, 5 VDC, 315 mA, 50-60 Hz.
Power Consumption: Less than 2 watts (nebulizing)
Patient Isolation: Control module circuitry provides 4 kilovolt
(kV) patient isolation and complies with IEC/EN 60601-1

Related product manuals