EasyManua.ls Logo

Air-Con 38B - Troubleshooting: Fan Motor Issues; Indoor Fan Motor Operation Problems

Air-Con 38B
39 pages
Print Icon
To Next Page IconTo Next Page
To Next Page IconTo Next Page
To Previous Page IconTo Previous Page
To Previous Page IconTo Previous Page
Loading...
34
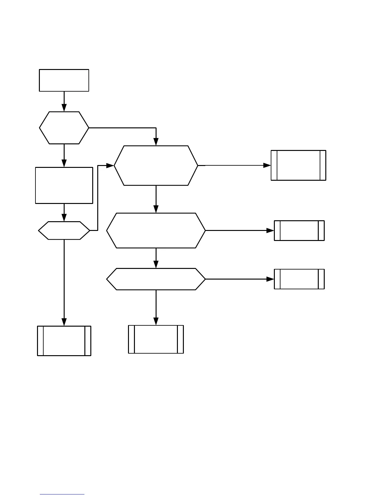
Turn off power
supply once, and
turn it on again.
Does
compressor
continue to
operate?
Start to operate indoor
unit in cooling
operation at airflow
level LOW ,wait
three minutes..
Does indoor
fan operate?
Fan motor
operates
normally.
Is it possible to detect AC
220V between
pin(high/middle/low) and
pin(common) of motor
connector .
Replace indoor
fan motor.
Replace main
P.C. board.
Replace
bearing.
YES
YES
YES
NO
NO
NO
Turn off indoor unit and rotate
cross-flow fan by hand when the
unit is on standby.Is it possible to
rotate cross-flow fan by hand
properly?
Only indoor fan motor does not operate.
Is capacitor of indoor fan ok?
YES
NO
YES
Replace
capacitor
NO
<Primary check>
(1) Is it possible to detect the power supply voltage (200-240V) between L and N on the terminal
block?
(2) Does the indoor fan motor operate in cooling operation?

Related product manuals