EasyManua.ls Logo

ALPHA-STIM M - TECHNICAL SPECIFICATIONS

ALPHA-STIM M
34 pages
Print Icon
To Next Page IconTo Next Page
To Next Page IconTo Next Page
To Previous Page IconTo Previous Page
To Previous Page IconTo Previous Page
Loading...
29
Electrical
Batteries 2 AA 1.5 volt (included). Replace with disposable batteries. Do not
use rechargeable batteries. Dispose of batteries safely in accordance
with local government regulations.
Timer 10 second Smart Probe activated by skin contact, 10, 20, 40, 60
minute countdown timers, and continuous time elapsed timer.
Current 0 to 600 microamperes (µA) adjustable in 50 µA increments.
Frequency 0.5, 1.5, or 100 Hz (pulses per second) combined with a constant 0.4
Hz. The average pulse repetition rate is 0.8 Hz at the most widely
used setting of 0.5 Hz.
Pulse Widths Varying between 0.25, 0.5, 0.75, and 1 second at 0.5 Hz.
Charge Per Pulse At 600 µA and 0.5 Hz the charge per pulse varies between 150, 300,
450 and 600 microcoulombs (µC). Every 10 seconds the total charge
is 1.5 millicoulombs (mC) in each direction.
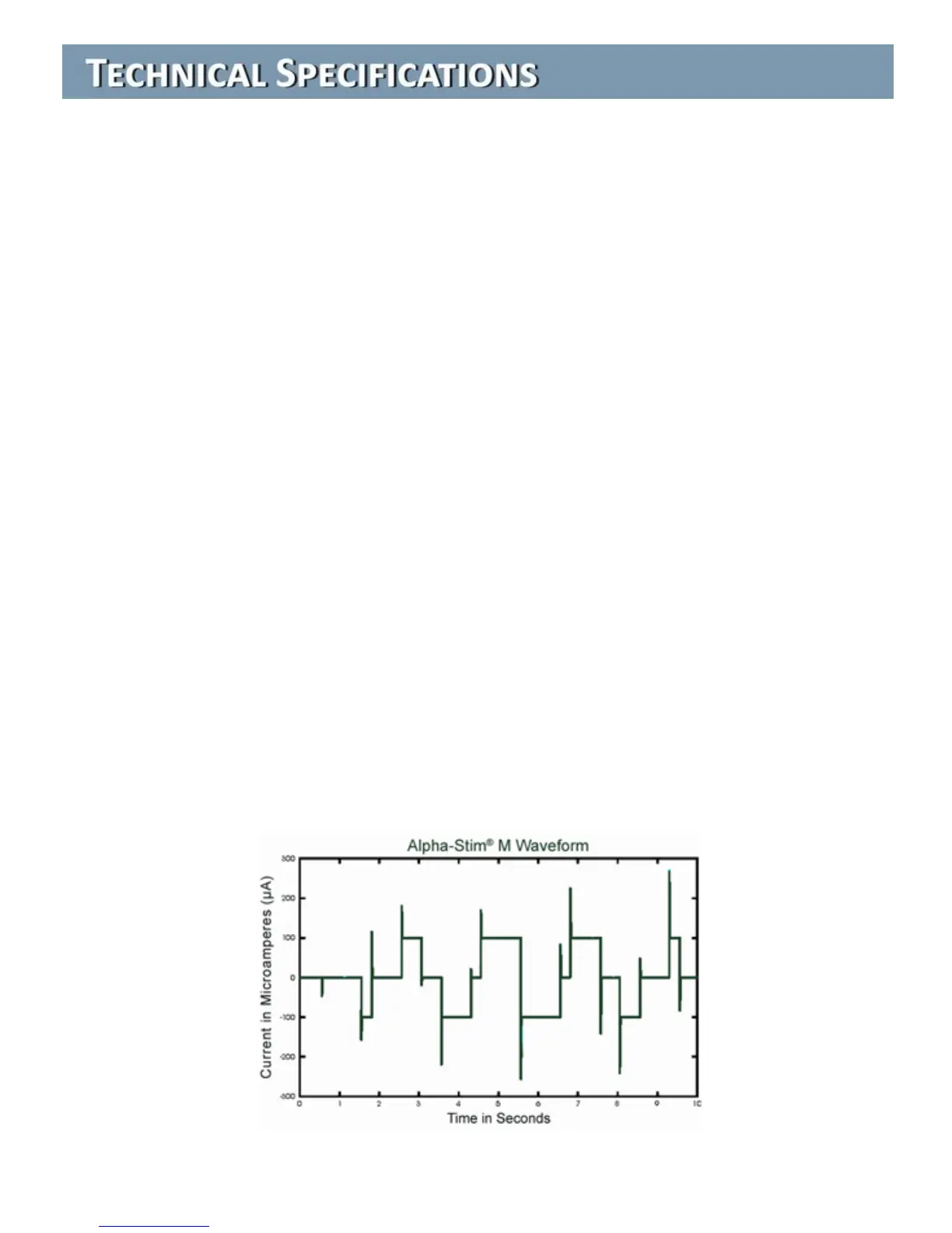
Waveform The impedance range within which the waveform parameters remain
valid are from 100 to 10 K. The waveform is composed of bipolar
asymmetric rectangular waves at a 50% duty cycle repeating
periodically. At 0.5 Hz it repeats at 10 second intervals. The
waveform is balanced to achieve 0 net current in either direction
(see graphic).
Mechanical
Height 11.0 cm
Width 7.2 cm
Depth 2.1 cm without belt clip
Weight 152 gm with batteries

Other manuals for ALPHA-STIM M