EasyManua.ls Logo

AOC LE32H1461/20 - Troubleshooting Flowcharts; Power Issues

AOC LE32H1461/20
142 pages
To Next Page IconTo Next Page
To Next Page IconTo Next Page
To Previous Page IconTo Previous Page
To Previous Page IconTo Previous Page
Loading...
33
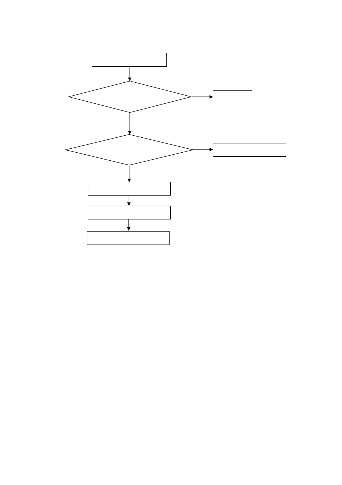
5. Repair Flow Chart
1. No power
No power (LED “Off”)
Check the AC input and
the
p
ower is “ON”?
Power “On”
Check the IR board and LED
Replace the IR board
Replace the main board
Power input=12V?
Replace the Adaptor
No
Yes
No
Yes
No

Related product manuals