EasyManua.ls Logo

APT 310XAC - Page 16

Default Icon
161 pages
Print Icon
To Next Page IconTo Next Page
To Next Page IconTo Next Page
To Previous Page IconTo Previous Page
To Previous Page IconTo Previous Page
Loading...
10
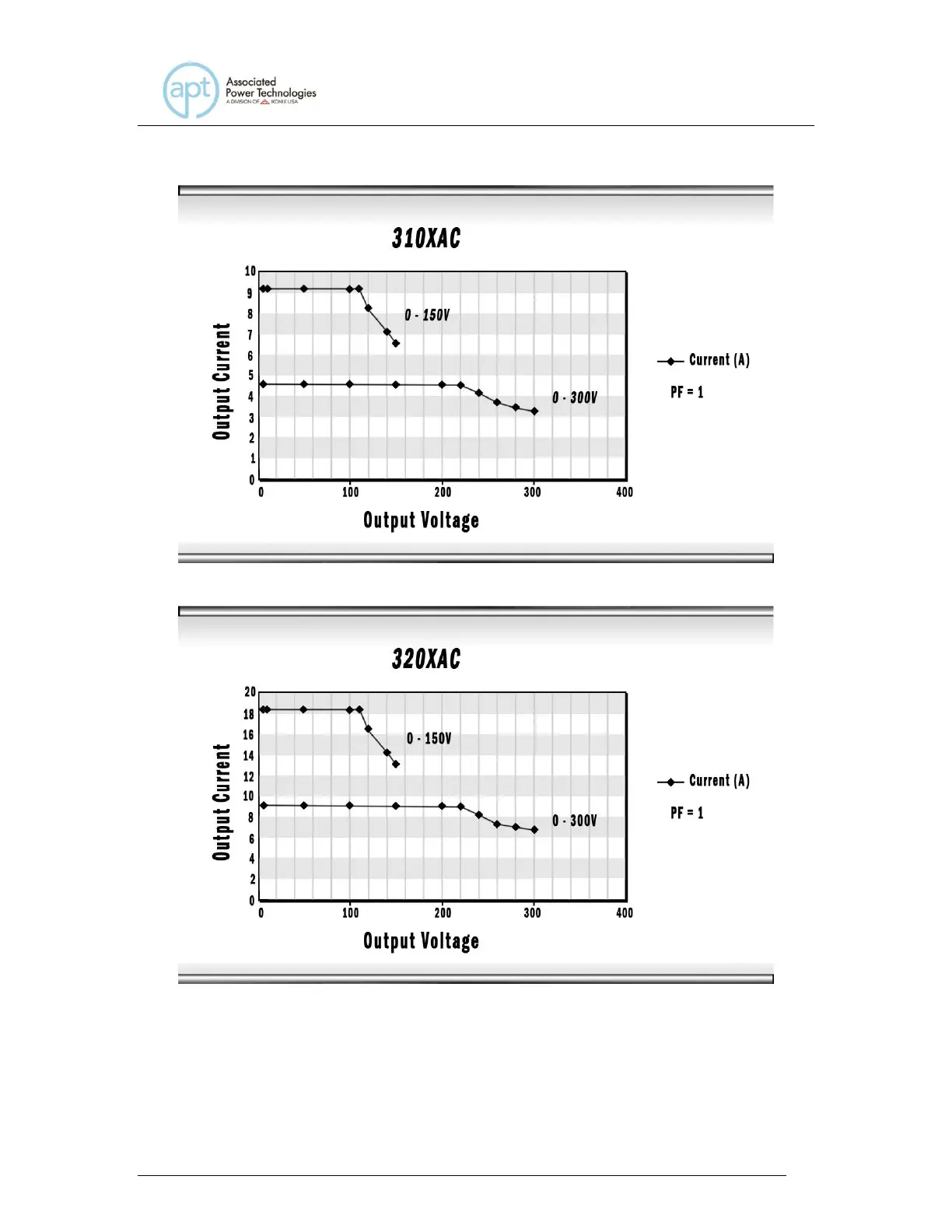
310XAC
320XAC

Table of Contents

Other manuals for APT 310XAC

Related product manuals