EasyManua.ls Logo

Atmel AT89C51 - Page 9

Atmel AT89C51
11 pages
Print Icon
To Next Page IconTo Next Page
To Next Page IconTo Next Page
To Previous Page IconTo Previous Page
To Previous Page IconTo Previous Page
Loading...
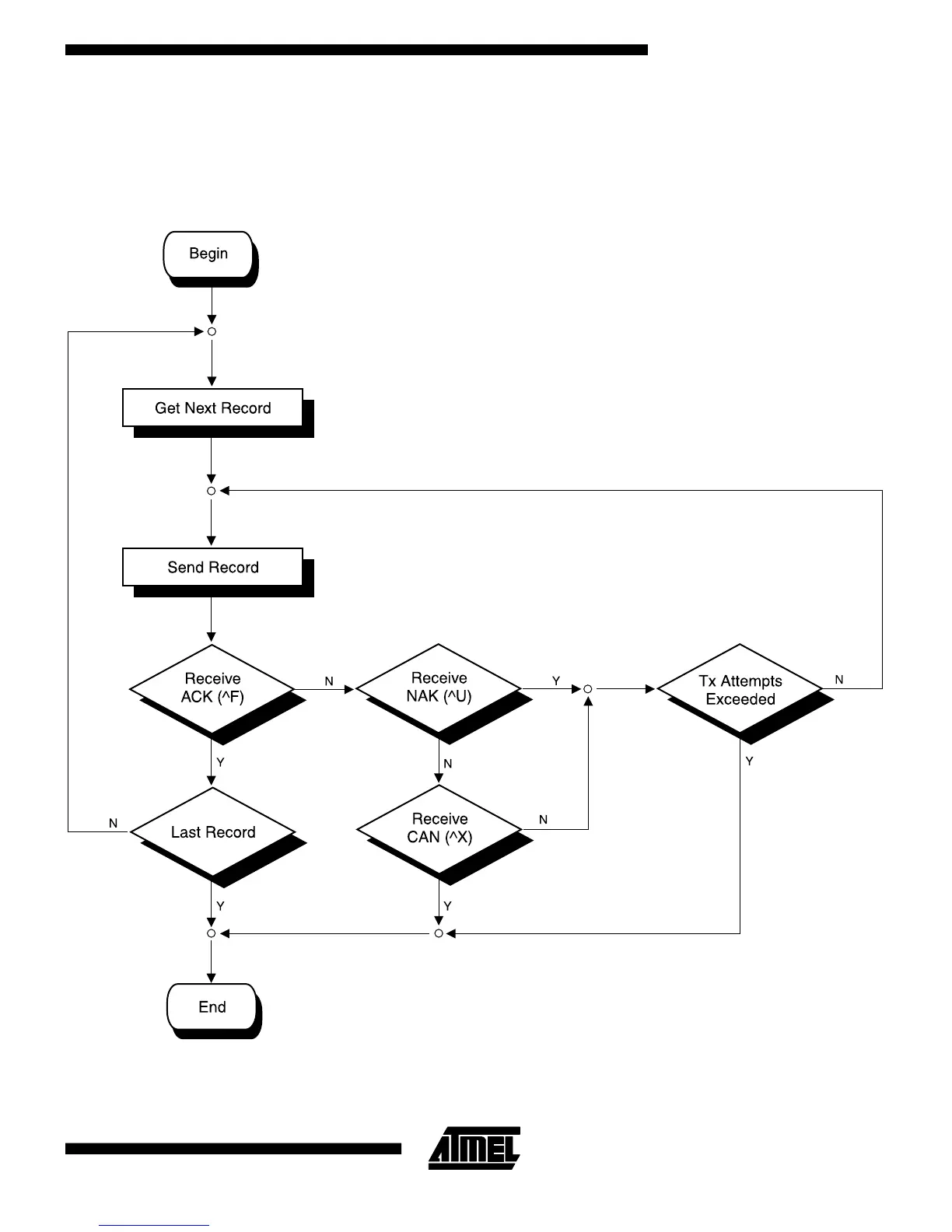
Figure 4. FTP Transmit Mode
Microcontroller
4-17

Other manuals for Atmel AT89C51

Related product manuals