EasyManua.ls Logo

Basler acA2440-75 - Page 157

Default Icon
373 pages
Print Icon
To Next Page IconTo Next Page
To Next Page IconTo Next Page
To Previous Page IconTo Previous Page
To Previous Page IconTo Previous Page
Loading...
AW00123409000 Image Acquisition Control
Basler ace USB 3.0 147
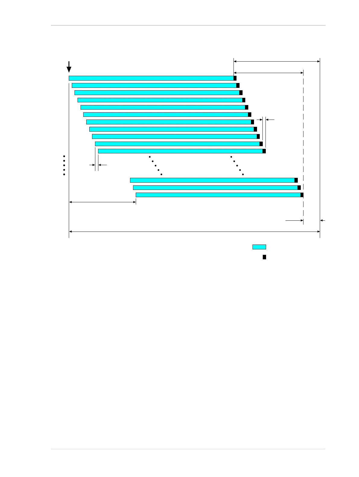
You can calculate the reset runtime using this formula:
Reset Runtime = tRow x (ROI Height -1)
You can calculate the total readout time using this formula:
Total Readout Time = [ tRow x (ROI Height) ] + C
1
µs
You can calculate the total runtime using this formula:
Total Runtime = ExposureTime Parameter Setting + Total Readout Time
Line 1
Line 2
Line 4
Line 3
Line 5
Line 6
Line 8
Line 7
Line 9
Line 10
Line 11
Line N-2
Line N
Line N-1
tRow
Reset Runtime
Sensor Readout Time
tRow
Total Runtime
= line exposure
= line readout
Frame Start
Triggered
Fig. 62: Rolling Shutter in Rolling Mode
Total Readout Time
C
1

Table of Contents

Related product manuals