EasyManua.ls Logo

Basler acA2440-75 - Page 41

Default Icon
373 pages
Print Icon
To Next Page IconTo Next Page
To Next Page IconTo Next Page
To Previous Page IconTo Previous Page
To Previous Page IconTo Previous Page
Loading...
AW00123409000 Specifications, Requirements, and Precautions
Basler ace USB 3.0 31
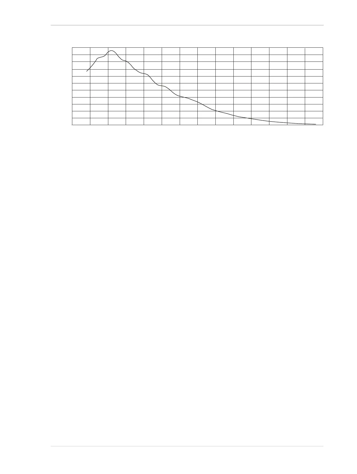
Wavelength (nm)
Quantum Efficiency (%)
Fig. 13: acA3800-14um Spectral Response (From Sensor Data Sheet)

Table of Contents

Related product manuals