EasyManua.ls Logo

Basler acA2440-75 - Page 48

Default Icon
373 pages
Print Icon
To Next Page IconTo Next Page
To Next Page IconTo Next Page
To Previous Page IconTo Previous Page
To Previous Page IconTo Previous Page
Loading...
Specifications, Requirements, and Precautions AW00123409000
38 Basler ace USB 3.0
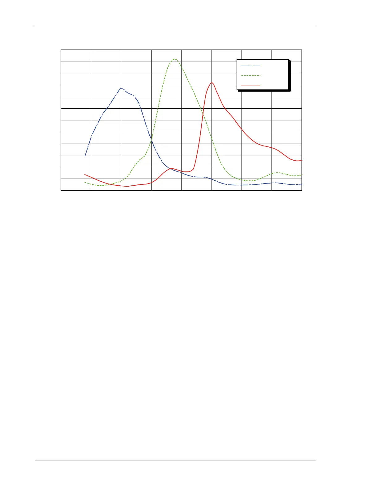
0.5
400 500
600 700
0.6
0.1
0.2
0.3
0.4
0.0
Wavelength (nm)
Quantum Efficiency (%)
Blue
Green
Red
Fig. 25: acA4600-10uc Spectral Response (From Sensor Data Sheet)

Table of Contents

Related product manuals