EasyManua.ls Logo

BBE MAXCOM - Operation; Expander;Gate Section; Threshold Adjustment; Compressor Section

BBE MAXCOM
24 pages
Print Icon
To Next Page IconTo Next Page
To Next Page IconTo Next Page
To Previous Page IconTo Previous Page
To Previous Page IconTo Previous Page
Loading...
8
OPERATION
EXPANDER/GATE SECTION
A downward expander automatically reduces the overall level for all signals below the threshold. The expander
therefore operates in the opposite way to that of a compressor/limiter. Expanders generally function with a at
ratio curve in that the signal continually fades. Noise gates, however, can be seen as “high ratio” expanders. If
the signal falls below he threshold it is radically attenuated.
The MAXCOM is equipped with a newly developed Adaptive Expander, the ratio of which is automatically ad-
justed dependent on the program material. The response characteristics of conventional expanders tend to cut
into the signal abruptly and the result of this is unacceptable most of the time. Gain changes become audible.
The Adaptive Expander is therefore equipped with a soft, interactive, nonlinear ratio curve which is best suited
to human hearing. Critical signals in the vicinity of the threshold level are processed with a minute expansion
ratio whereas signals that reduce in level will be subjected to an increasingly higher ratio, which will result in
greater attenuation.
• THRESHOLD ADJUSTMENT
The threshold control of the Expander/Gate stretches across a very wide range and therefore applies to all working
levels. If the THRESHOLD control is turned fully counterclockwise, the Expander/Gate section is inoperative.
COMPRESSOR SECTION
In the MAXCOM, control of the dynamics process is achieved by means of a high quality VCA with an operating
range of more than 60dB, i.e. the input signal level can be reduced or increased within a range of 60dB. Input
signal levels below the adjusted threshold are not reduced. However, as soon as the input signal exceeds the
threshold level, dynamic control is activated. The amount of compression (gain reduction) is proportional to the
amount by which the input signal exceeds the threshold.
• THRESHOLD CONTROL
The THRESHOLD control determines the point at which a certain input level causes the level reduction to com-
mence. The THRESHOLD control has an operating range of -40 to 20dBu.
If the THRESHOLD control is set fully clockwise, this corresponds to a threshold level of 20dBu. In practice, this
threshold level cannot be reached as the unit would overdrive. This control setting allows the Compressor sec-
tion to be put out of action if, for example, the Expander/Gate is to be used independently.
The degree and type of compression is determined not only by the THRESHOLD control, but also by the sub-
sequent RATIO, ATTACK and RELEASE controls and by the AUTO switch.
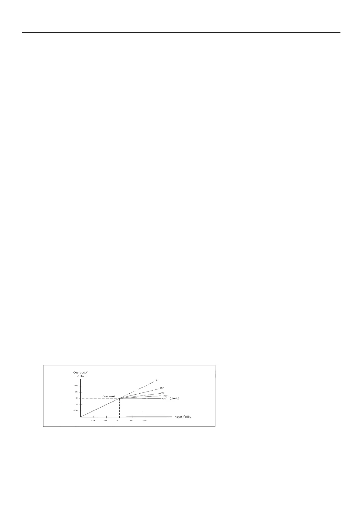
• RATIO CONTROL
The RATIO control determines the ratio of change in output level compared to input level, for all signals exceed-
ing the threshold. The scale of the ratio is calibrated in dB on the front panel. It indicates the increase in input
level required, to produce a 1 dB increase in output Level. In the Introduction chapter we described the function
of a compressor by comparing it to a volume fader where signal peaks are controlled manually in order to avoid
distortions due to signals exceeding the threshold.
There are two ways to utilize this level control: either the output level is limited in such a way that no signal can
exceed a predened maximum or the output level is reduced above the threshold, so that signal peaks may well
exceed the threshold, but are reduced proportionally. The extent of this change in dynamics is determined by
the RATIO control.
OPERATION
sgnittesoitartnereffidotecnereferhtiwleveltu
p
tuoottup
n
ifooitarehT11.giF

Related product manuals