EasyManua.ls Logo

BBK LCD19W57 - TV Wont Power on

BBK LCD19W57
58 pages
Print Icon
To Next Page IconTo Next Page
To Next Page IconTo Next Page
To Previous Page IconTo Previous Page
To Previous Page IconTo Previous Page
Loading...
- 38 -
LCD TV Service Manual
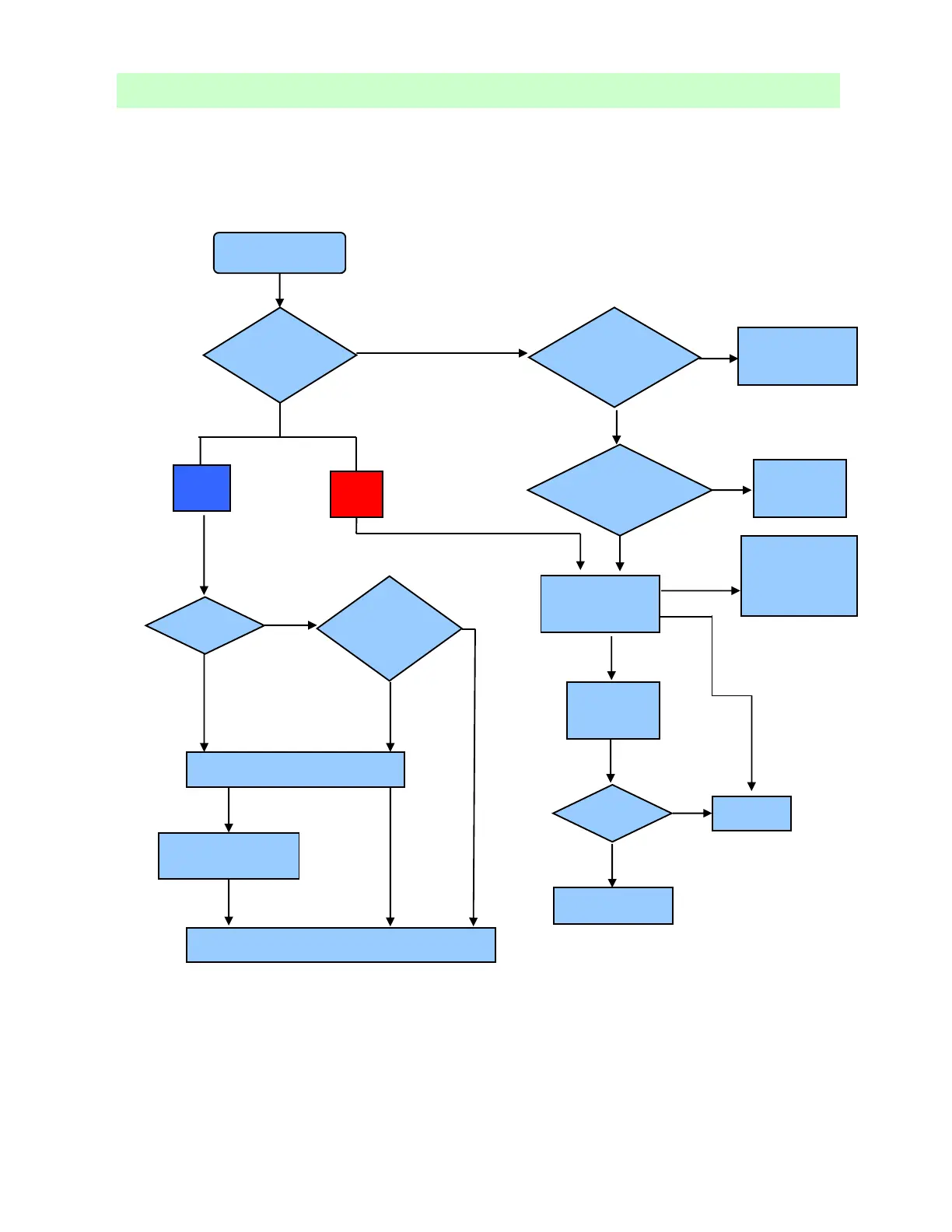
7.3 TV won’t Power On
Make Sure Power
source is live
Replace
Power Cord
Check/replace IR
BD or Keypad
PCA
TV won’t power on
Is LED light?
NO
YES
Check Power
Inlet
YES
NO
Check Power
Cord
Only
one works
Replace Main
BD
Try Power on by
RC and Button
Neither
works
Both
Work
Power on
OK
YES
NO
Replace Power BD
YES
NO
RED
BLUE
OSD?
NO
Replace Main BD
NO
YES
Check signal
Source
YES
NO
YES
Replace Panel
OK