EasyManua.ls Logo

Berkel 919/1 - Page 5

Berkel 919/1
24 pages
Print Icon
To Next Page IconTo Next Page
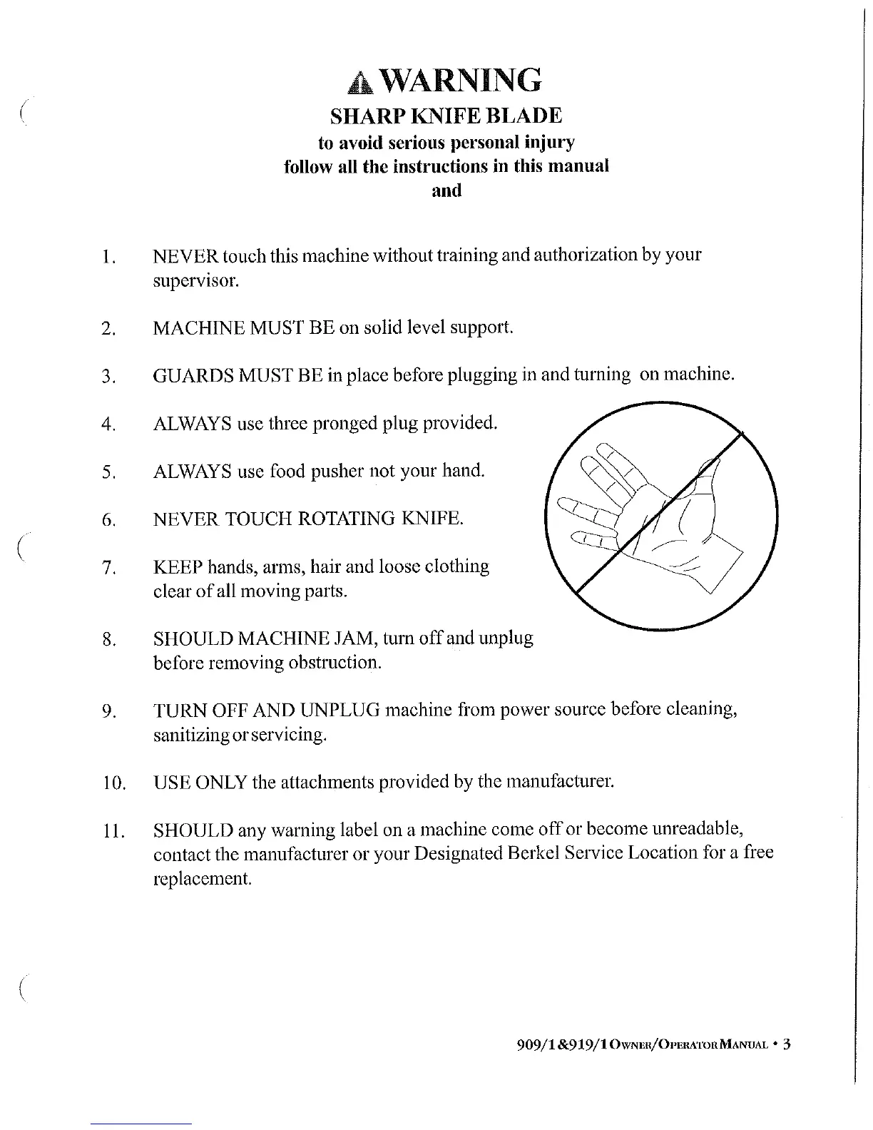
To Next Page IconTo Next Page
To Previous Page IconTo Previous Page
To Previous Page IconTo Previous Page
Loading...

Related product manuals