EasyManua.ls Logo

Bitzer HSKC 64 - Page 6

Bitzer HSKC 64
44 pages
Print Icon
To Next Page IconTo Next Page
To Next Page IconTo Next Page
To Previous Page IconTo Previous Page
To Previous Page IconTo Previous Page
Loading...
6
pressure side and flows to the oil sep-
arator or condenser.
Attention: Screw compressors
may only be operated in one
direction of rotation!
The very small gap (a few µm)
between the rotors themselves and
the housing is dynamically sealed with
oil, which is directly injected into the
profile spaces, a part of the oil is used
to supply the rolling contact bearings.
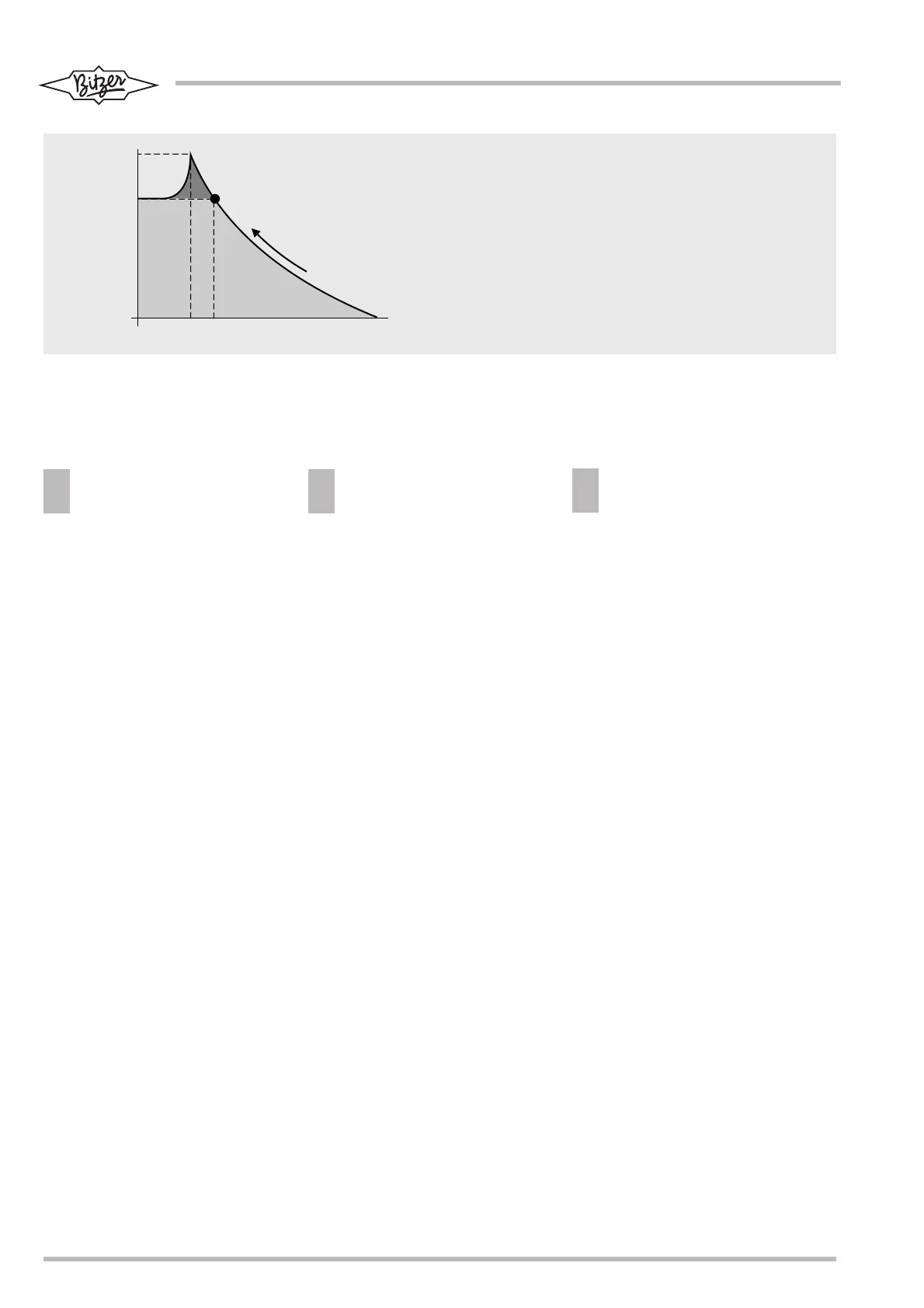
The size and geometry of the outlet
port determine the so called "built-in
volume ratio (V
i
)" of the compressor.
This ratio must be in a defined rela-
tionship to the operating pressure
ratio in order to avoid large losses in
efficiency due to over or under com-
pression. For this reason screw com-
pressors are manufactured with differ-
ent discharge ports according to the
application.
With all BITZER Compact Screws a
newly developed system for fully auto-
matic V
i
-control has been incorporat-
ed. The discharge port is thereby opti-
mized for the nominal operating con-
ditions (pressure ratio). With a lower
pressure ratio in the system a part of
the compressed gas flows directly to
the discharge chamber via a valve
mechanism in the rotor housing (by-
passing the outlet port). The flow vol-
ume remaining in the profiles is thus
reduced and over-compression is
avoided. This self-regulating achieves
a high efficiency over a wide applica-
tion range.
полость высокого давления и направляется
в маслоотделитель или конденсато
р.
Внимание: Винтовые компрессоры
могут работать при вращении вала
двигателя только в одну сторону!
Очень небольшой зазор (величиной в
несколько микрон) между роторами,
роторами и корпусом постоянно уплотняется
маслом, которое впрыскивается
непосредственно в рабочую полость
роторов. При этом часть масла
используется для смазки подшипников.
Размеры и форма нагнетательного окна
компрессора определяют так называемое
«объемное внутреннее отношение - V
i
.
Этот параметр должен определять
соотношение рабочих давлений хладагента
на входе и на выходе из компрессора для
предотвращения снижения его к.п.д. от
избыточного или
недостаточного сжатия.
Для этого винтовые
компрессоры
производятся с различными
нагнетательными окнами, соответствующими
рабочей области применения.
Во всех компактных винтовых
компрессорах BITZER используется новая
полностью автоматизированная система V
i
- регулирования. Таким образом,
нагнетательное окно оптимизировано для
номинальных условий работы
(соотношения давлений). При более
низком соотношении давлений часть
сжимаемого газа проходит в область
высокого давления через клапанное
устройство в корпусе компрессора (в обход
нагнетательного окна). Тем самым
достигается понижение объемного расхода
газа, перемещаемого рабочими профилями
валов, и устраняется его пережатие. Это
саморегулирующаяся система
обеспечивает высокий к.п.д. компрессора
в широкой области применения.
der Dampf auf der Hochdruckseite
ausgestoßen und gelangt zu Ölab-
scheider bzw. Verflüssiger.
Achtung: Schraubenverdichter
dürfen nur in der vorgeschriebenen
Drehrichtung betrieben werden!
Der sehr geringe Spalt (wenige µm)
zwischen den Rotoren und zum
Gehäuse wird dynamisch durch Öl
abgedichtet, das direkt in die Zahn-
lücken eingespritzt wird; ein Teilstrom
des Öls wird zur Versorgung der
Wälzlager genutzt.
Größe und Geometrie des Austritts-
fensters im Druckflansch bestimmen
das sog. „eingebaute Volumen-
verhältnis (V
i
)“ des Verdichters. Diese
Kenngröße muß in einer definierten
Beziehung zum Arbeitsdruckverhältnis
stehen, um größere Wirkungsgrad-
verluste durch Über- oder Unterkom-
pression zu vermeiden. Zu diesem
Zweck werden Schraubenverdichter –
je nach Anwendungsbereich – mit
unterschiedlichen Austrittsfenstern
gefertigt.
In allen BITZER Kompaktschrauben
wird ein neuentwickeltes System zur
vollautomatischen V
i
-Regelung einge-
setzt. Das Austrittsfenster ist dabei für
die nominellen Arbeitsbedingungen
(Druckverhältnisse) optimiert. Bei
reduziertem Systemdruckverhältnis
wird ein Teil des verdichteten Gases
über im Rotorgehäuse eingebaute
Regelventile direkt (unter Umgehung
des Austrittsfensters) zur Druckkammer
gefördert. Damit reduziert sich das im
Rotorprofil verbleibende Volumen;
Überkompression wird abgebaut.
Dieses selbstregelnde System bewirkt
den hohen Wirkungsgrad über einen
breiteren Anwendungsbereich.
Abb. 2 Verdichtungsverlauf Fig. 2 Compression behavior
Рис. 2 Процесс сжатия
P
oc
P
2
P
1
V
oc
V
2
V
1
Verdichtungsverlauf
Compression behavior
Процесс сжатия газа
Verluste durch Überkompression
Losses due to over-compression
Потери от избыточного сжатия (перекомпрессии)
Verdichtung mit V
i
-Regelung
Compression with V
i
-Control
Сжатие с V
i
- регулированием
!
!
!
!
!
!
SH-150-2
www.holodim.ru (495) 921-4126

Related product manuals