EasyManua.ls Logo

Bosch UniversalImpact 650 - Page 11

Bosch UniversalImpact 650
Print Icon
To Next Page IconTo Next Page
To Next Page IconTo Next Page
To Previous Page IconTo Previous Page
To Previous Page IconTo Previous Page
Loading...
Deutsch | 11
Bosch Power Tools 1 609 92A 2A0 | (17.11.16)
Der in diesen Anweisungen angegebene Schwingungspegel
ist entsprechend einem in EN 60745 genormten Messverfah-
ren gemessen worden und kann für den Vergleich von Elek-
trowerkzeugen miteinander verwendet werden. Er eignet sich
auch für eine vorläufige Einschätzung der Schwingungsbelas-
tung.
Der angegebene Schwingungspegel repräsentiert die haupt-
sächlichen Anwendungen des Elektrowerkzeugs. Wenn aller-
dings das Elektrowerkzeug für andere Anwendungen, mit un-
terschiedlichen Zubehören, mit abweichenden
Einsatzwerkzeugen oder ungenügender Wartung eingesetzt
wird, kann der Schwingungspegel abweichen. Dies kann die
Schwingungsbelastung über den gesamten Arbeitszeitraum
deutlich erhöhen.
Für eine genaue Abschätzung der Schwingungsbelastung soll-
ten auch die Zeiten berücksichtigt werden, in denen das Ge-
rät abgeschaltet ist oder zwar läuft, aber nicht tatsächlich im
Einsatz ist. Dies kann die Schwingungsbelastung über den ge-
samten Arbeitszeitraum deutlich reduzieren.
Legen Sie zusätzliche Sicherheitsmaßnahmen zum Schutz
des Bedieners vor der Wirkung von Schwingungen fest wie
zum Beispiel: Wartung von Elektrowerkzeug und Einsatzwerk-
zeugen, Warmhalten der Hände, Organisation der Arbeitsab-
läufe.
Montage
Ziehen Sie vor allen Arbeiten am Elektrowerkzeug den
Netzstecker aus der Steckdose.
Zusatzgriff (siehe Bild A)
Verwenden Sie Ihr Elektrowerkzeug nur mit dem Zu-
satzgriff 9.
Stellen Sie vor allen Arbeiten sicher, dass die Flügel-
schraube 21/18 fest angezogen ist. Der Verlust der Kon-
trolle kann zu Verletzungen führen.
Drehen Sie die Flügelschraube 21/18 entgegen dem Uhrzei-
gersinn und führen Sie den Zusatzgriff 9 über das Bohrfutter
auf den Spindelhals des Elektrowerkzeugs.
Sie können den Zusatzgriff 9 schwenken, um eine sichere und
ermüdungsarme Arbeitshaltung zu erreichen.
Schwenken Sie den Zusatzgriff 9 in die gewünschte Position
und drehen Sie die Flügelschraube 21/18 im Uhrzeigersinn
wieder fest.
Bohrtiefe einstellen (siehe Bild B)
Mit dem Tiefenanschlag 23 kann die gewünschte Bohrtiefe X
festgelegt werden.
Drücken Sie die Taste für die Tiefenanschlageinstellung 22
und setzen Sie den Tiefenanschlag in den Zusatzgriff 9 ein.
Die Riffelung am Tiefenanschlag 23 muss nach unten zeigen.
Ziehen Sie den Tiefenanschlag so weit heraus, dass der Ab-
stand zwischen der Spitze des Bohrers und der Spitze des
Tiefenanschlags der gewünschten Bohrtiefe X entspricht.
Drill Assistant
Drill Assistant aufsetzen (siehe Bilder CD)
Der Drill Assistant 10 kann mit und ohne Staubauffangvor-
richtung 13 verwendet werden. Die Verwendung der Staub-
auffangvorrichtung 13 ist begrenzt auf Bohrer mit einem
Durchmesser von 12 mm und einer Länge von 120 mm.
Stecken Sie die Staubauffangvorrichtung 13 auf die Aufnah-
me 26 auf.
Drücken Sie die Entriegelungstaste 8, um den Drill Assistant
10 aus seiner Parksituation zu lösen.
Führen Sie den Drill Assistant 10 über das Bohrfutter auf den
Spindelhals des Elektrowerkzeugs.
Drehen Sie zur Arretierung die Flügelschraube 18 im Uhrzei-
gersinn fest.
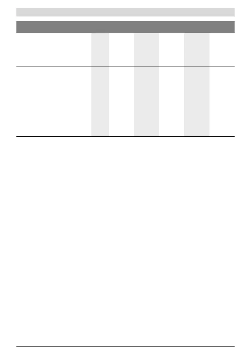
Universal-
Impact 650
Universal-
Impact 730
Universal-
Impact 6700
Universal-
Impact 7000
Universal-
Impact 8000
Der A-bewertete Geräuschpegel des Elek-
trowerkzeugs beträgt typischerweise
Schalldruckpegel
Schallleistungspegel
Unsicherheit K
Gehörschutz tragen!
dB(A)
dB(A)
dB(A)
97
108
3
97
108
3
97
108
3
97
108
3
97
108
3
Schwingungsgesamtwerte a
h
(Vektorsum-
me dreier Richtungen) und Unsicherheit K
ermittelt entsprechend EN 60745-2-1:
Bohren in Metall:
a
h
K
m/s
2
m/s
2
10,0
2,5
10,0
2,5
10,0
2,5
10,0
2,5
8,0
2,0
Schlagbohren in Beton:
a
h
K
m/s
2
m/s
2
32
3,5
32
3,5
32
3,5
32
3,5
32
2,5
Schrauben:
a
h
K
m/s
2
m/s
2
<2,5
1,5
<2,5
1,5
<2,5
1,5
<2,5
1,5
<2,5
1,5
OBJ_BUCH-2862-001.book Page 11 Thursday, November 17, 2016 2:40 PM

Related product manuals