EasyManua.ls Logo

Bosch UPS 15 - Page 15

Bosch UPS 15
Print Icon
To Next Page IconTo Next Page
To Next Page IconTo Next Page
To Previous Page IconTo Previous Page
To Previous Page IconTo Previous Page
Loading...
15
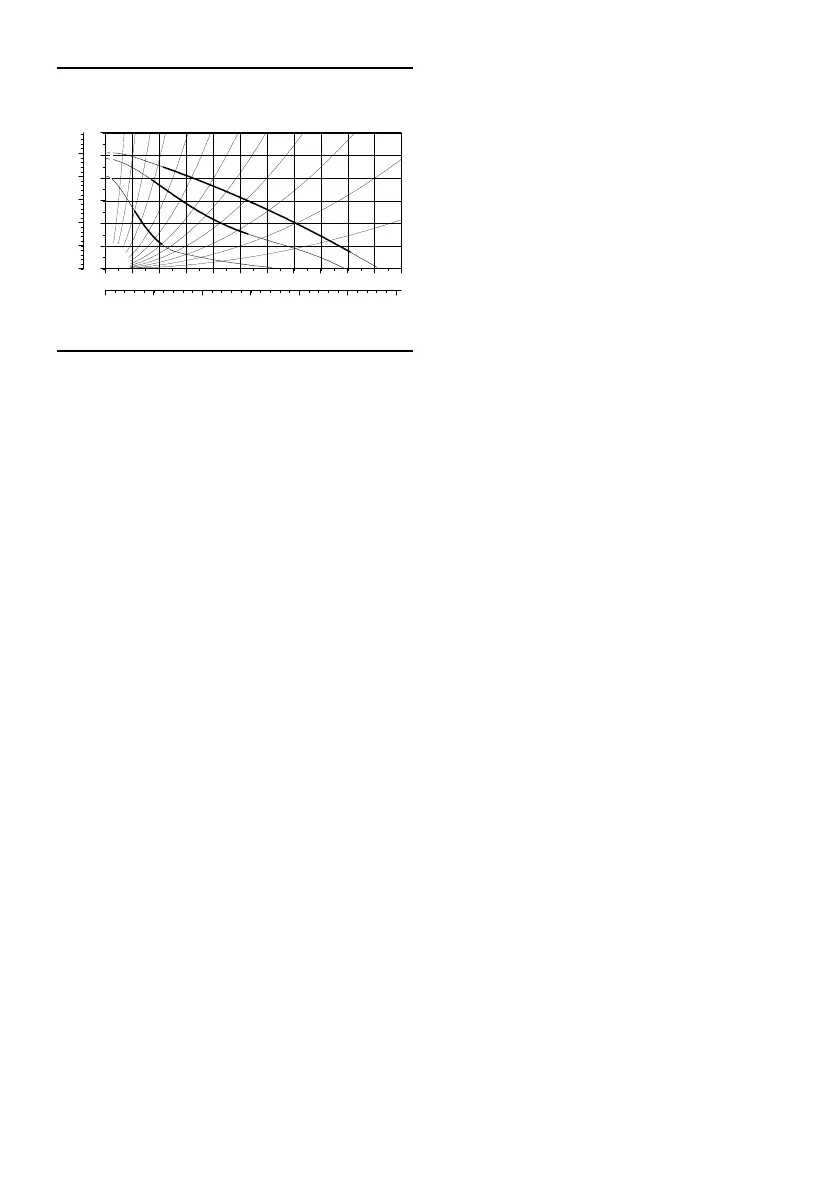
UPS 32-55 180, 1 x 230 V, 50 Hz
0 1 2 3 4 5 6 7 8 9
Q [m³/h]
0
1
2
3
4
5
H
[m]
0
10
20
30
40
50
p
[kPa]
0.0 0.5 1.0 1.5 2.0 2.5
Q [l/s]
1
2
3

Related product manuals